Open Access

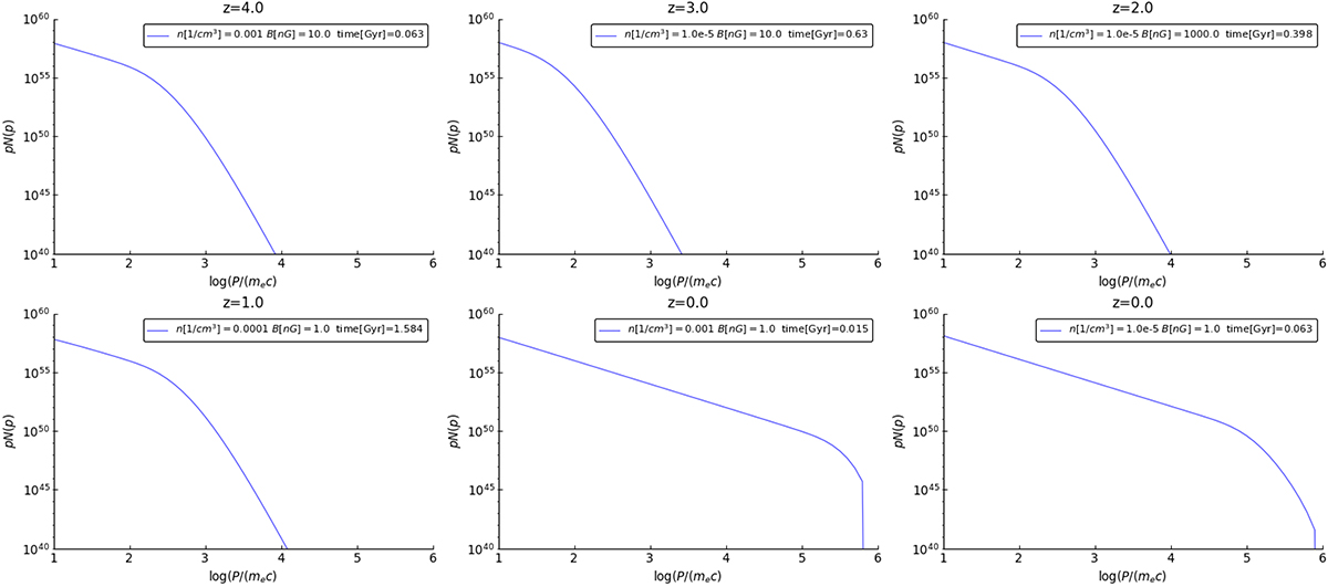
Fig. 10.

image

Download original image

Example of six different CR electrons spectra computed by our post-processing model, for different (random) variations of the combinations between gas density, magnetic field strength, redshift, and time elapsed since the injection of the initial power-law distribution of CRs. Such spectra are extracted from our tabulated list of spectra generated with the ROGER code and applied to compute the synchrotron emission from every cell in our simulated volumes in post-processing. Finally, we note that our approach neglects the spatial diffusion of cosmic rays, which is mostly negligible on the scales of interest here (this is addressed in more detail in Sect. 4).

Current usage metrics show cumulative count of Article Views (full-text article views including HTML views, PDF and ePub downloads, according to the available data) and Abstracts Views on Vision4Press platform.

Data correspond to usage on the plateform after 2015. The current usage metrics is available 48-96 hours after online publication and is updated daily on week days.

Initial download of the metrics may take a while.