Open Access

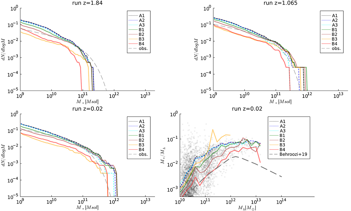
Fig. 12.

image

Download original image

Stellar mass luminosity function for our simulated galaxies in all models and for three different epochs, compared with the best-fit derived by McLeod et al. (2021) for observations at approximately equal redshift bins. The last panel shows the distribution of the stellar mass fraction as a function of the host halo mass at z = 0.02, compared to the best-fit relation derived from observations by Behroozi et al. (2019).

Current usage metrics show cumulative count of Article Views (full-text article views including HTML views, PDF and ePub downloads, according to the available data) and Abstracts Views on Vision4Press platform.

Data correspond to usage on the plateform after 2015. The current usage metrics is available 48-96 hours after online publication and is updated daily on week days.

Initial download of the metrics may take a while.