Open Access

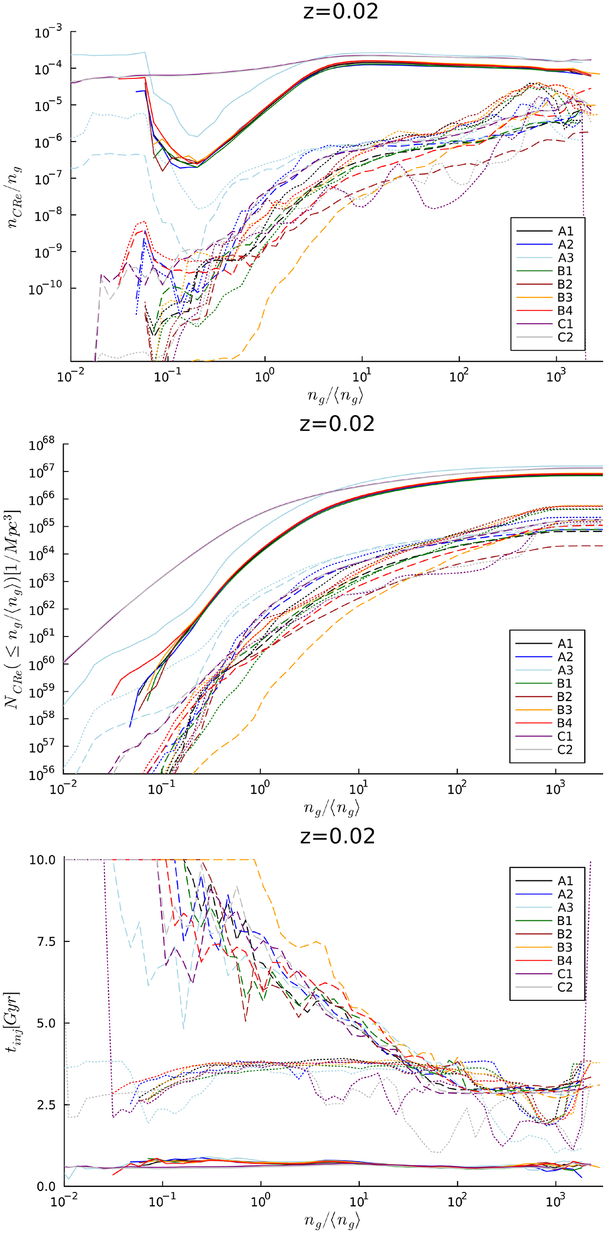
Fig. 19.

image

Download original image

Top panel: Average ratio between CRe density and thermal gas proton density as a function of the gas over-density in the simulation by the end of our runs. Middle panel: Cumulative absolute number of CRe normalised for a comoving Mpc3 volume and averaging over an increasing gas overdensity. Bottom panel: Average time elapsed since the last injection of CRe as a function of gas overdensity. The solid lines give the trend for CRe injected by shocks, the dotted lines for CRe injected by AGNs and the dashed lines for CRe injected by star formation.

Current usage metrics show cumulative count of Article Views (full-text article views including HTML views, PDF and ePub downloads, according to the available data) and Abstracts Views on Vision4Press platform.

Data correspond to usage on the plateform after 2015. The current usage metrics is available 48-96 hours after online publication and is updated daily on week days.

Initial download of the metrics may take a while.