Open Access

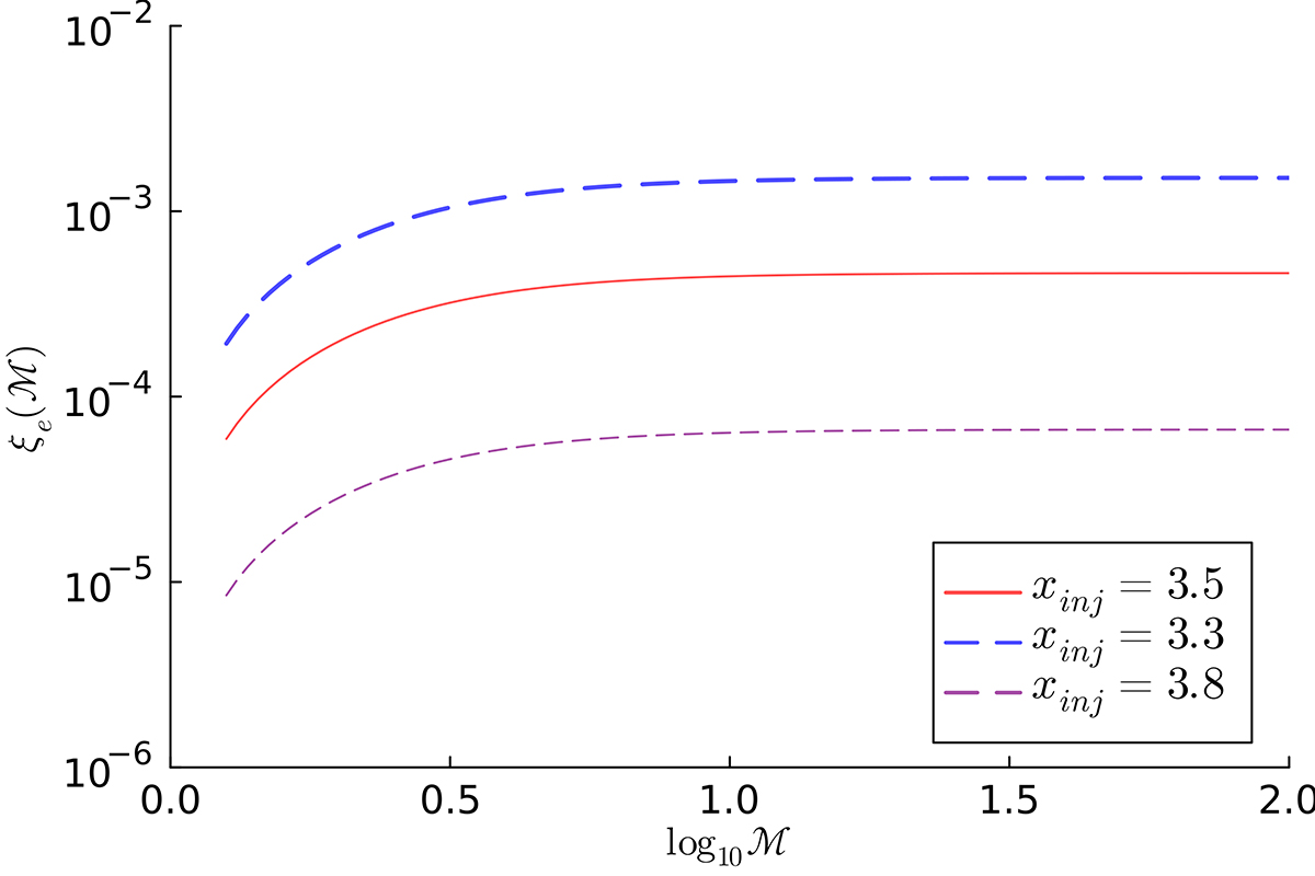
Fig. 8.

image

Download original image

Trend of injection efficiency of CRe (given in terms of the number of injected CRe with respect to the number of thermal particles) as a function of shock Mach number, for three different choices of the injection momentum, xinj (the baseline model assumed in our simulations is in red).

Current usage metrics show cumulative count of Article Views (full-text article views including HTML views, PDF and ePub downloads, according to the available data) and Abstracts Views on Vision4Press platform.

Data correspond to usage on the plateform after 2015. The current usage metrics is available 48-96 hours after online publication and is updated daily on week days.

Initial download of the metrics may take a while.