Open Access

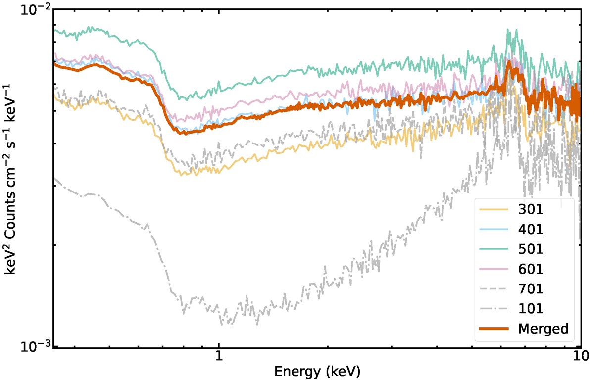
Fig. 1.

image

Download original image

Spectra of Mrk 766 taken with the XMM-Newton EPIC-pn instrument. The different observations taken during the 2005 campaign are shown in various colours. We show observations that were not included in the study in grey. We plot the merged spectrum of observations 301, 401, 501, and 601 in red. We refer to the observations by the last three digits of their observation IDs.

Current usage metrics show cumulative count of Article Views (full-text article views including HTML views, PDF and ePub downloads, according to the available data) and Abstracts Views on Vision4Press platform.

Data correspond to usage on the plateform after 2015. The current usage metrics is available 48-96 hours after online publication and is updated daily on week days.

Initial download of the metrics may take a while.