Open Access

Fig. 2.

image

Download original image

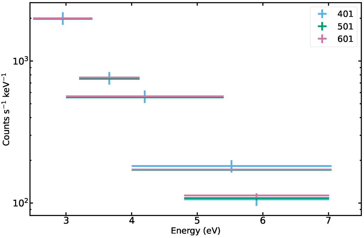
Spectra of Mrk 766 taken with the XMM-Newton OM instrument. The different observations used for this study are shown in various colours. The OM filters from left to right are B, U, UVW1, UVM2, and UVW2. We refer to the observations by the last three digits of their observation IDs.

Current usage metrics show cumulative count of Article Views (full-text article views including HTML views, PDF and ePub downloads, according to the available data) and Abstracts Views on Vision4Press platform.

Data correspond to usage on the plateform after 2015. The current usage metrics is available 48-96 hours after online publication and is updated daily on week days.

Initial download of the metrics may take a while.