Open Access

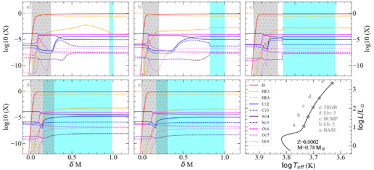
Fig. 3.

image

Download original image

Variation of chemical elements from 1H to 18O in five stages along the RGB phase of a selected star with initial mass 0.78 M and metallicity Z = 0.0002. The HRD of the corresponding star begins from the zero-age main sequence, with the five marked stages. Each element is indicated by the coloured lines. The cyan-shaded area displays the thermohaline instability region at each evolutionary stage (bottom-right panel), the grey-dotted area indicates the H-burning shell. All first five panels share the same scale on the x- and y-axis.

Current usage metrics show cumulative count of Article Views (full-text article views including HTML views, PDF and ePub downloads, according to the available data) and Abstracts Views on Vision4Press platform.

Data correspond to usage on the plateform after 2015. The current usage metrics is available 48-96 hours after online publication and is updated daily on week days.

Initial download of the metrics may take a while.