Open Access

Fig. 5

image

Download original image

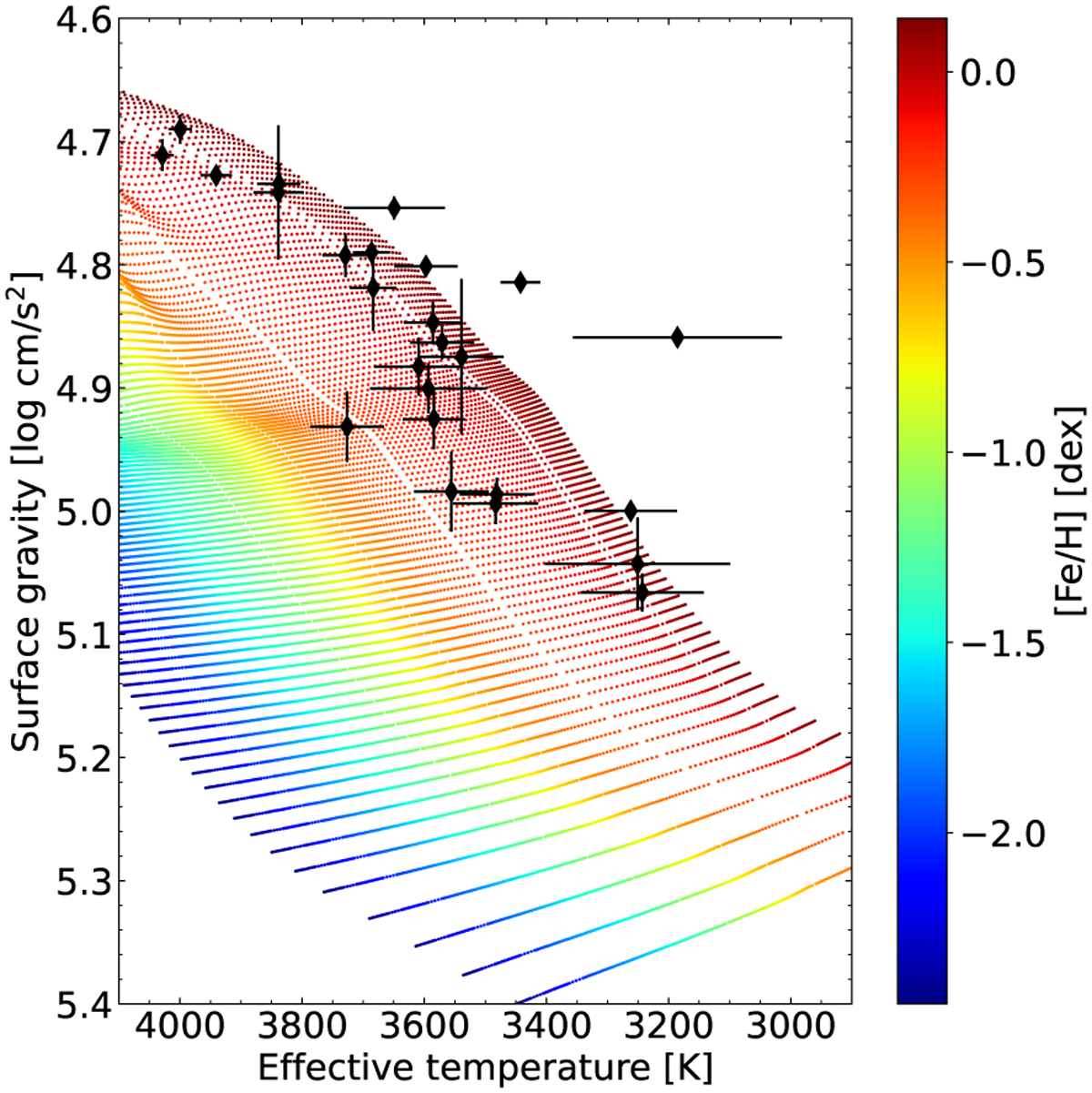
Surface gravity versus effective temperature derived by the SAPP (black diamonds with error bars). The K dwarf GJ 105A is not visible since its parameters are outside of the axis ranges. Small dots represent a subset of the grid of stellar evolution models used by the photometric module as described in Sect. 3.1, selected for this illustration to have an age of 13 Gyr, colour-coded by metallicity, with masses increasing from 0.1 M at the lower right towards the upper left with steps of 0.005 M. We note that when constructing the PDF for surface gravity the photometric module uses the whole grid of models for all available ages.

Current usage metrics show cumulative count of Article Views (full-text article views including HTML views, PDF and ePub downloads, according to the available data) and Abstracts Views on Vision4Press platform.

Data correspond to usage on the plateform after 2015. The current usage metrics is available 48-96 hours after online publication and is updated daily on week days.

Initial download of the metrics may take a while.