Open Access

Fig. 4

image

Download original image

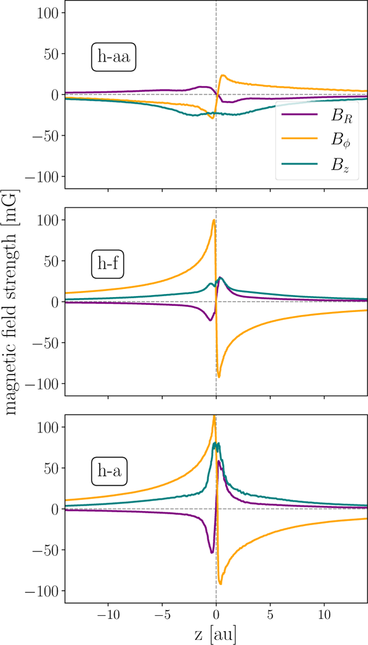
Vertical profiles of the magnetic field components along a poloidal field line (each highlighted by a thick blue line in the bottom panels of Fig. 1, above) threading the cavity.

Current usage metrics show cumulative count of Article Views (full-text article views including HTML views, PDF and ePub downloads, according to the available data) and Abstracts Views on Vision4Press platform.

Data correspond to usage on the plateform after 2015. The current usage metrics is available 48-96 hours after online publication and is updated daily on week days.

Initial download of the metrics may take a while.