Open Access

Fig. 9

image

Download original image

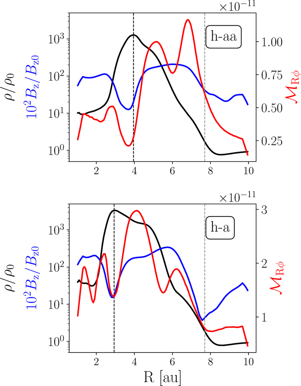
Vertically integrated profiles of the density, vertical magnetic field, and radial Maxwell stress in the cavity. We note the anticorrelation between density and Bz . The black dashed line (on the left) indicates the density maxima, while the gray dashed line (on the right) marks the end of the cavity.

Current usage metrics show cumulative count of Article Views (full-text article views including HTML views, PDF and ePub downloads, according to the available data) and Abstracts Views on Vision4Press platform.

Data correspond to usage on the plateform after 2015. The current usage metrics is available 48-96 hours after online publication and is updated daily on week days.

Initial download of the metrics may take a while.