Open Access

Fig. 5.

image

Download original image

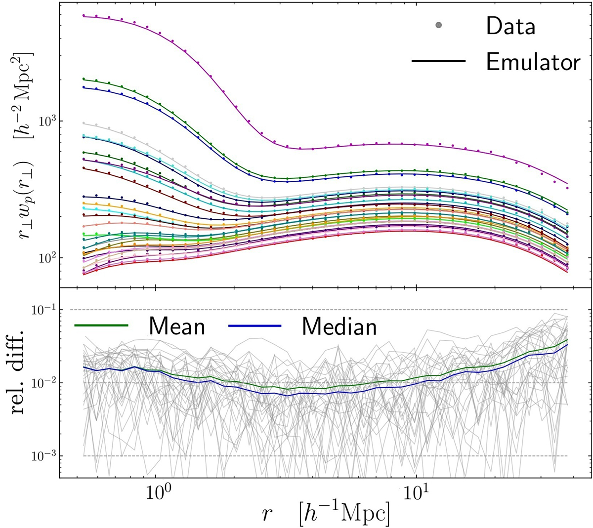
Upper panel: Example set of wp sampled from 29 cosmologies in the test and validation datasets, with solid lines corresponding to the integrated samples of ξR in Fig. 4. Data points show direct measurements of wp in redshift space. Lower panel: Relative difference between wp from direct measurements and from integrating ξ pred R $ \xi^{\mathrm{R}}_{\mathrm{pred}} $.

Current usage metrics show cumulative count of Article Views (full-text article views including HTML views, PDF and ePub downloads, according to the available data) and Abstracts Views on Vision4Press platform.

Data correspond to usage on the plateform after 2015. The current usage metrics is available 48-96 hours after online publication and is updated daily on week days.

Initial download of the metrics may take a while.