Open Access

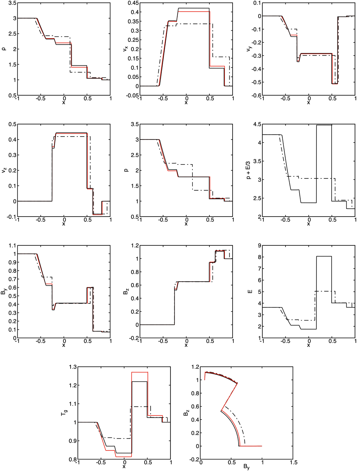
Fig. 12

image

Download original image

Normalized density, x-velocity, y-velocity, ɀ-velocity, plasma pressure, (plasma + radiation) pressure, y-magnetic field, ɀ-magnetic field, radiation energy density, and plasma temperature solutions and the By versus Bɀ plot, at t = 0.4 for the Torrilhon (2003) 1.75D Riemann shock-tube problem. Wherever applicable, the corresponding solution for the non-radiative case by Torrilhon (2003) is also shown as a solid red line. The solutions we show in black are either in full FLD (solid) or in diffusion limit (dot-dashed).

Current usage metrics show cumulative count of Article Views (full-text article views including HTML views, PDF and ePub downloads, according to the available data) and Abstracts Views on Vision4Press platform.

Data correspond to usage on the plateform after 2015. The current usage metrics is available 48-96 hours after online publication and is updated daily on week days.

Initial download of the metrics may take a while.