Open Access

Fig. 14

image

Download original image

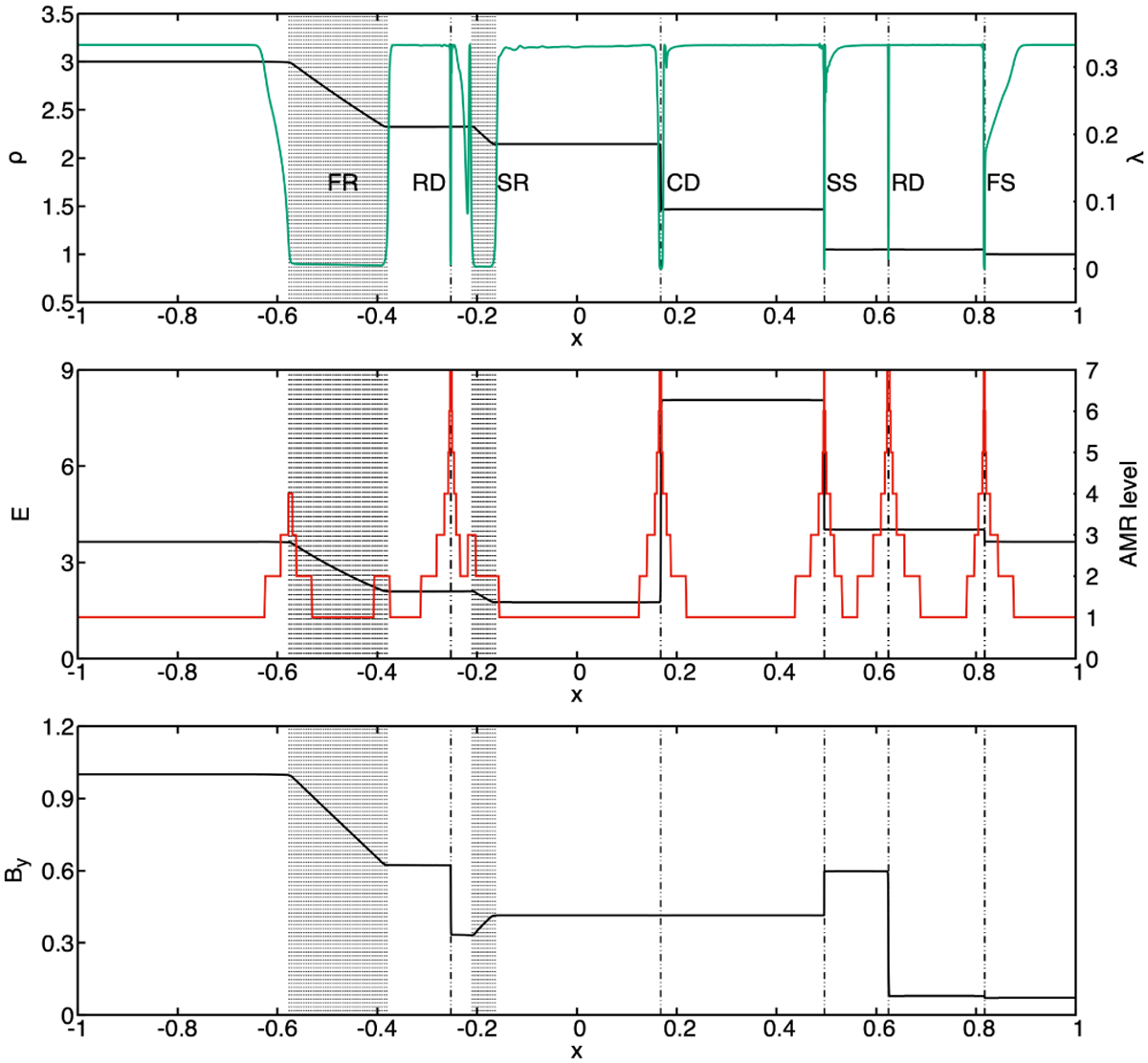
Density (top), radiation energy density (middle), and y–magnetic field solutions for the full FLD radiative Torrilhon test. The flux-limiter λ solution (green) is superimposed on the density solution, whereas the AMR level is superimposed on the radiation energy density solution. The dotted vertical lines span the rarefaction waves and the dash-dot-dot vertical lines mark discontinuities. In the top panel, the seven waves formed are distinctly marked: fast rarefaction (FR), rotational discontinuity (RD), slow rarefaction (SR), contact discontinuity (CD), slow shock (SS), rotational discontinuity (RD), and fast shock (FS).

Current usage metrics show cumulative count of Article Views (full-text article views including HTML views, PDF and ePub downloads, according to the available data) and Abstracts Views on Vision4Press platform.

Data correspond to usage on the plateform after 2015. The current usage metrics is available 48-96 hours after online publication and is updated daily on week days.

Initial download of the metrics may take a while.