Open Access

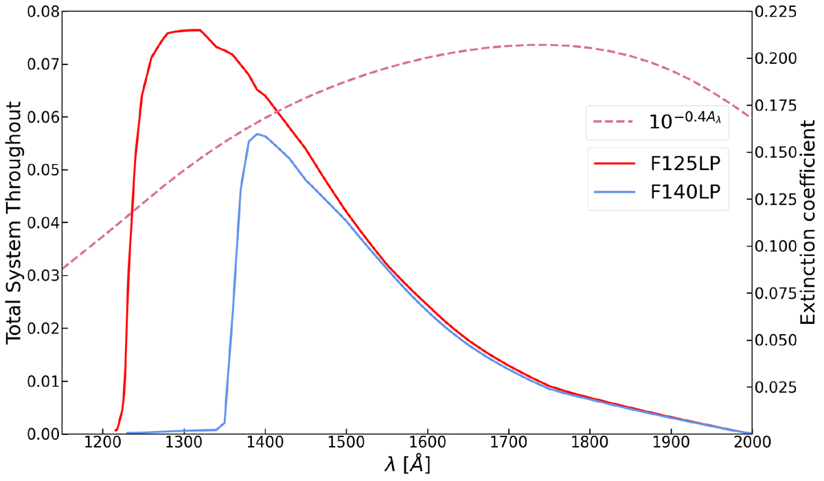
Fig. 1.

image

Download original image

Wavelength dependences of the throughputs T(λ) of the ACS/SBC F125LP and F140LP filters (solid curves, values on the left) and the extinction coefficient 10−0.4Aλ at E(B − V) = 0.22 (the dashed curve, values on the right), most probable for J1741.

Current usage metrics show cumulative count of Article Views (full-text article views including HTML views, PDF and ePub downloads, according to the available data) and Abstracts Views on Vision4Press platform.

Data correspond to usage on the plateform after 2015. The current usage metrics is available 48-96 hours after online publication and is updated daily on week days.

Initial download of the metrics may take a while.