Open Access

Fig. 2.

image

Download original image

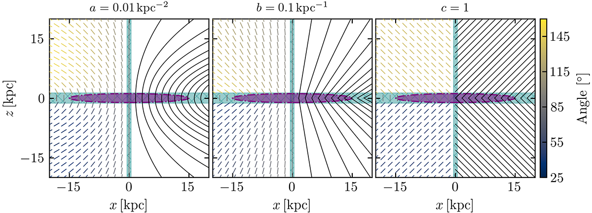
Example field configurations (in each panel the left side shows a B field angle representation and the right side shows tangential curves) for all three models used in the fitting procedure: par model: Eq. (3) (left panel), wegde model: Eq. (5) (middle panel), and const model: Eq. (7) (right panel). To guide the eye, we indicate the extent of a hypothetical galactic disc with an diameter of 30 kpc as purple ellipse outlined by a black dashed line. Additionally, we highlight the areas that are masked in our data processing with teal, hatched rectangles. All models are point-symmetric with regard to the galaxy centre. In all three cases, we only display the normalised field orientation in the x − z plane, as would be traced by radio polarimetry data.

Current usage metrics show cumulative count of Article Views (full-text article views including HTML views, PDF and ePub downloads, according to the available data) and Abstracts Views on Vision4Press platform.

Data correspond to usage on the plateform after 2015. The current usage metrics is available 48-96 hours after online publication and is updated daily on week days.

Initial download of the metrics may take a while.