Open Access

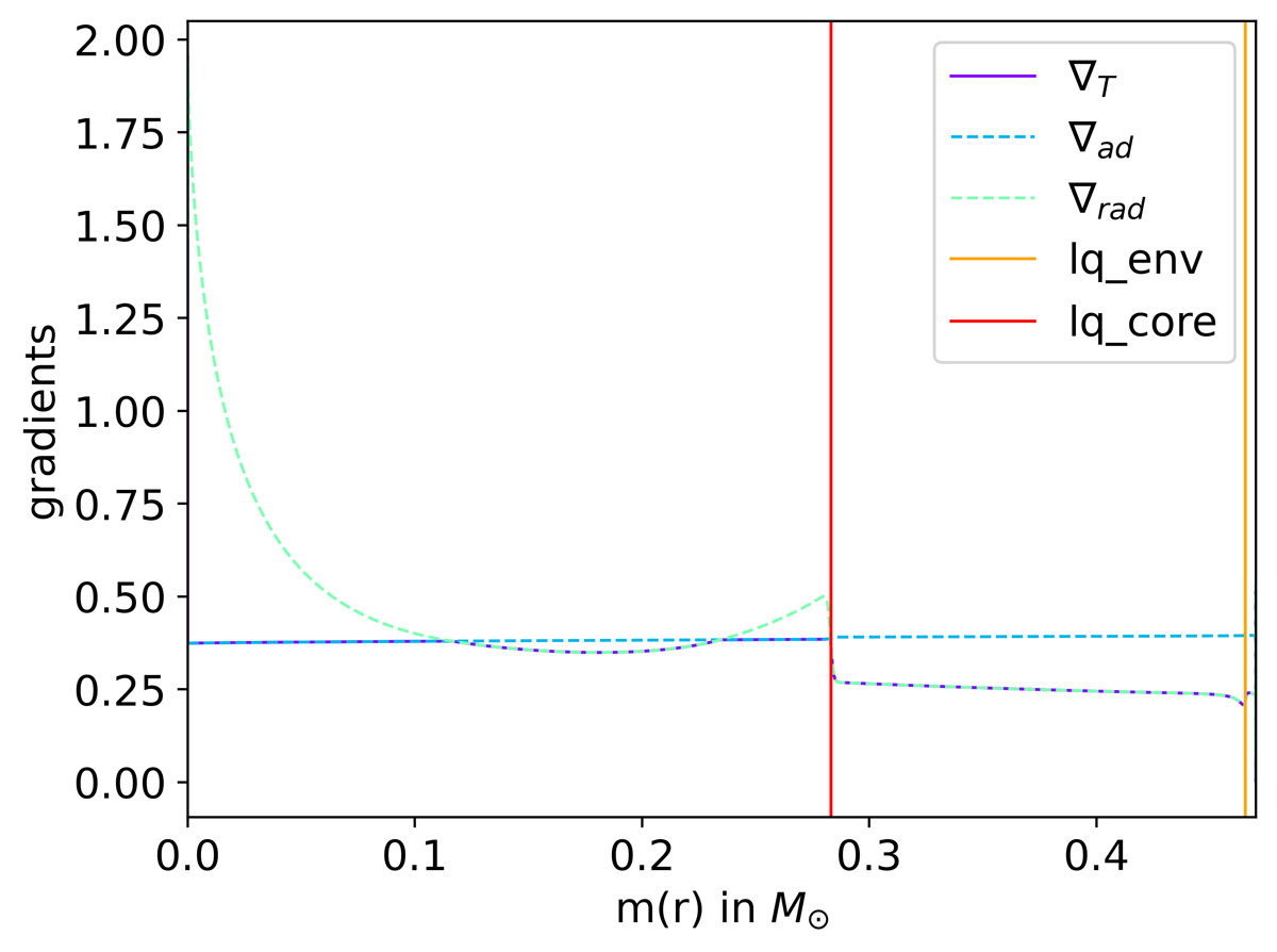
Fig. 1.

image

Download original image

Temperature gradients: actual (∇T), adiabatic (∇ad), and radiative (∇rad) as a function of m(r), the mass contained in a sphere of radius r, in a sdB 4G static model with 0.47 M, lq_core = −0.4, lq_env = −2.0, and X(He)core = 0.05. The red vertical line depicts the transition lq_core from the mixed He+C+O core to the radiative He mantle and the orange vertical line indicates the transition lq_env from the latter to the envelope.

Current usage metrics show cumulative count of Article Views (full-text article views including HTML views, PDF and ePub downloads, according to the available data) and Abstracts Views on Vision4Press platform.

Data correspond to usage on the plateform after 2015. The current usage metrics is available 48-96 hours after online publication and is updated daily on week days.

Initial download of the metrics may take a while.