Open Access

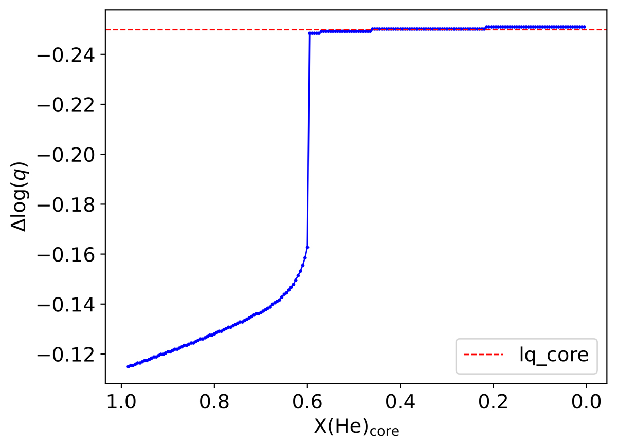
Fig. 10.

image

Download original image

Convective core mass in log(q) scale as a function of X(He)core. The convective core grows until X(He)core = 0.6 where it reaches the lq_core transition, fixed at lq_core = −0.25 (red dashed line). Each blue dot represents a 4G model having M* = 0.47 M, lq_core = −0.25, lq_env = −2, at corresponding X(He)core.

Current usage metrics show cumulative count of Article Views (full-text article views including HTML views, PDF and ePub downloads, according to the available data) and Abstracts Views on Vision4Press platform.

Data correspond to usage on the plateform after 2015. The current usage metrics is available 48-96 hours after online publication and is updated daily on week days.

Initial download of the metrics may take a while.