Open Access

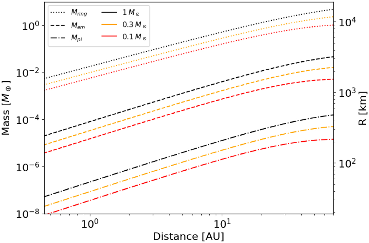
Fig. 3

image

Download original image

Total ring mass (dotted) and the mass of the single largest (dashed) and characteristic (dashdotted) planetesimal mass for different stellar masses (colour) for filaments with different separations from the star.

Current usage metrics show cumulative count of Article Views (full-text article views including HTML views, PDF and ePub downloads, according to the available data) and Abstracts Views on Vision4Press platform.

Data correspond to usage on the plateform after 2015. The current usage metrics is available 48-96 hours after online publication and is updated daily on week days.

Initial download of the metrics may take a while.