Open Access

Fig. 2.

image

Download original image

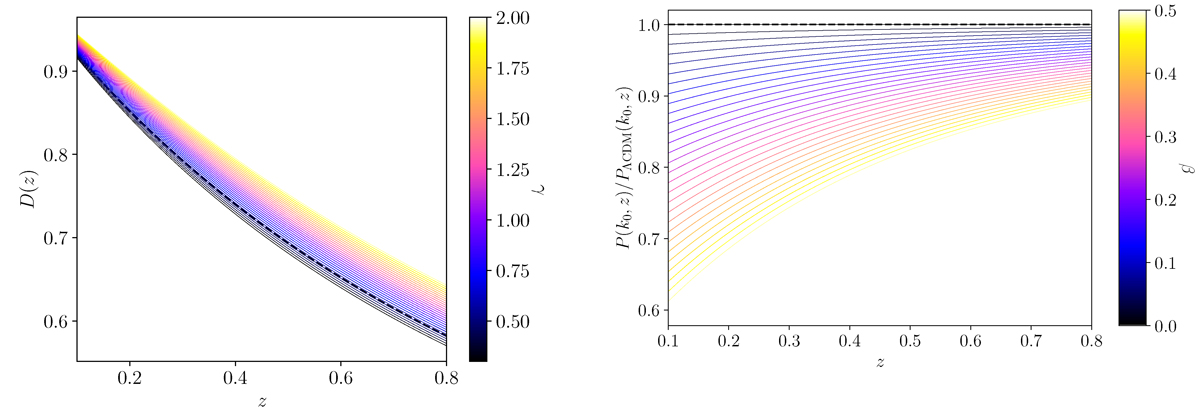
Left: Evolution of the growth factor with the cosmic linear growth index γ. The bold black dashed line is the growth factor in Equation (7). Increasing γ reduces the slope of the growth factor, thus damping structure formation. Right: Power spectrum reduction model described in Section 5. We show the ratio of the modified power spectrum to the regular ΛCDM one for different values of the parameter β. The index is fixed to p = 1. Increased values of β reduce the structure formation at low redshift. These figures were produces using a Planck20 cosmology (TT,TE,EE+lowE+lensing+BAO).

Current usage metrics show cumulative count of Article Views (full-text article views including HTML views, PDF and ePub downloads, according to the available data) and Abstracts Views on Vision4Press platform.

Data correspond to usage on the plateform after 2015. The current usage metrics is available 48-96 hours after online publication and is updated daily on week days.

Initial download of the metrics may take a while.