Open Access

Fig. 4.

image

Download original image

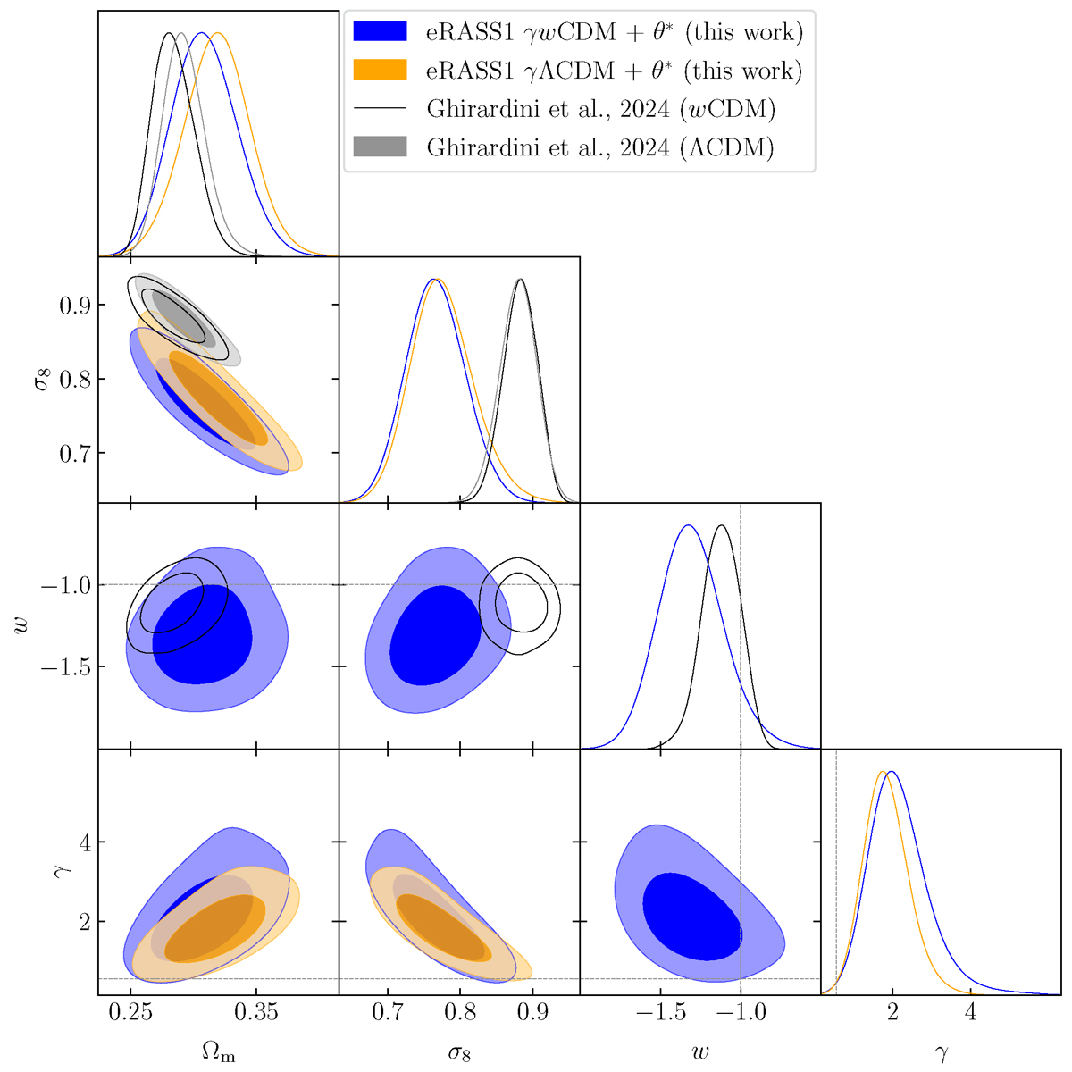
Comparison of the posteriors of cosmological parameters for the γΛCDM model (shown in orange) and γwCDM (shown in blue). The constraints from the standard ΛCDM model presented in G24 (ΛCDM in gray, and wCDM in black) are plotted for comparison. The γΛCDM model prefers a lower value of σ8 and a higher value for Ωm. This is explained by the anticorrelation between σ8 and γ and the positive correlation between Ωm and γ.

Current usage metrics show cumulative count of Article Views (full-text article views including HTML views, PDF and ePub downloads, according to the available data) and Abstracts Views on Vision4Press platform.

Data correspond to usage on the plateform after 2015. The current usage metrics is available 48-96 hours after online publication and is updated daily on week days.

Initial download of the metrics may take a while.