Open Access

Fig. 8.

image

Download original image

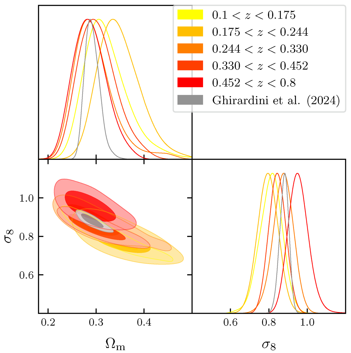
Cosmological posteriors obtained on the main parameters. The color scheme follows the one in Figure 7: blue (z = 0.1 − 0.175), red (0.175 − 0.244), black (z = 0.244 − 0.330), green (z = 0.330 − 0.452) and purple (z = 0.452 − 0.8). All the posteriors are fully compatible at the 1σ level, showing the robustness of the eRASS1 analysis.

Current usage metrics show cumulative count of Article Views (full-text article views including HTML views, PDF and ePub downloads, according to the available data) and Abstracts Views on Vision4Press platform.

Data correspond to usage on the plateform after 2015. The current usage metrics is available 48-96 hours after online publication and is updated daily on week days.

Initial download of the metrics may take a while.