Open Access

Fig. 3.

image

Download original image

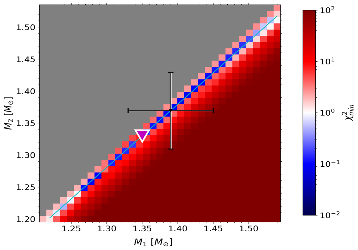
Secondary mass and χred2-minima as a function of primary mass from the models with the condition of equal metallicity for the components Z1 = Z2 (Case A1). The color bar indicates the respective χred2-minima on a logarithmic scale. The residuals were calculated with enforcing M1M2; the gray area represents the respective space where no χred2 is calculated due to this condition. The seismic solution, including its error bars from BKP18, is given in black, the absolute χred2-minimum is given in magenta triangle, and the green line represents the spectroscopic mass ratio of q = 1.015.

Current usage metrics show cumulative count of Article Views (full-text article views including HTML views, PDF and ePub downloads, according to the available data) and Abstracts Views on Vision4Press platform.

Data correspond to usage on the plateform after 2015. The current usage metrics is available 48-96 hours after online publication and is updated daily on week days.

Initial download of the metrics may take a while.