Open Access

Fig. 8.

image

Download original image

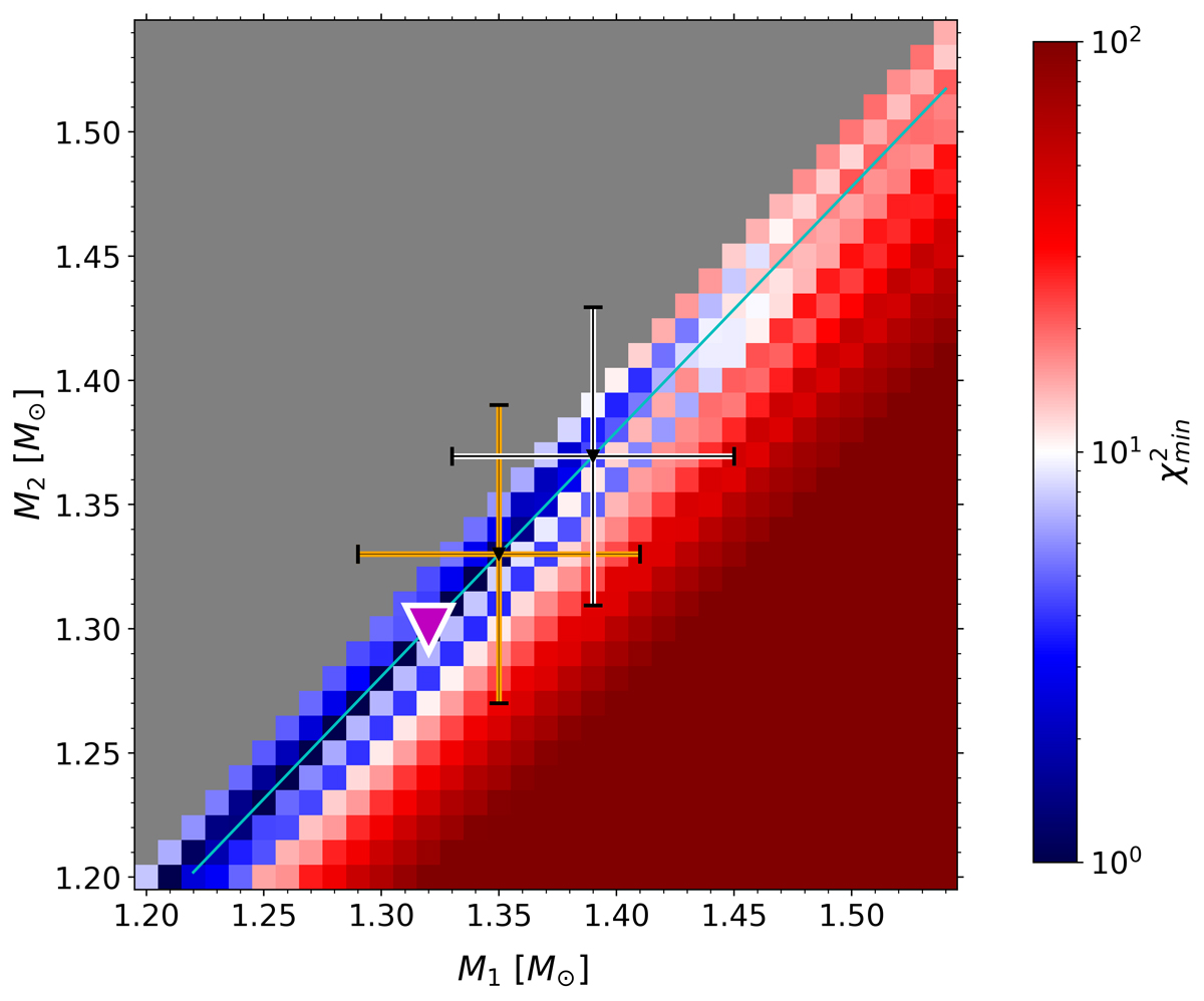
Residuals of the χred2-minimization as a function of the primary mass M1 and secondary mass M2 with the condition of equal metallicity within the uncertainty range of the spectroscopic value of the components Z1, 2 = Zspec ± σZspec (Case D3); with the inclusion of Δν and the magnitude difference Δm in the figure of merit. Colors and symbols are the same as in Fig. 3. We added the revised seismic masses obtained from the corrected Δν value as an orange cross.

Current usage metrics show cumulative count of Article Views (full-text article views including HTML views, PDF and ePub downloads, according to the available data) and Abstracts Views on Vision4Press platform.

Data correspond to usage on the plateform after 2015. The current usage metrics is available 48-96 hours after online publication and is updated daily on week days.

Initial download of the metrics may take a while.