Open Access

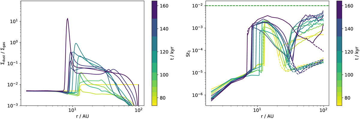
Fig. 12

image

Download original image

TwoPopPy simulation based on R2 quantities, but with the temperature scaled by ξ = 5. The line color denotes the time in the simulation according to the color bar, with a darker color indicating a later time. Left: radial profile of the vertically integrated dust-to-gas ratio Σdustgas. Right: radial profile of the pebble Stokes number St1, i.e., the Stokes number of the large grains in the two-population approximation. The dashed lines indicate the value expected from the two population model for this setup, ffStfrag. The separate dashed green line at St1 = 10−2 indicates the minimal Stokes number required for strong clumping via the streaming instability.

Current usage metrics show cumulative count of Article Views (full-text article views including HTML views, PDF and ePub downloads, according to the available data) and Abstracts Views on Vision4Press platform.

Data correspond to usage on the plateform after 2015. The current usage metrics is available 48-96 hours after online publication and is updated daily on week days.

Initial download of the metrics may take a while.