Open Access

Fig. 14

image

Download original image

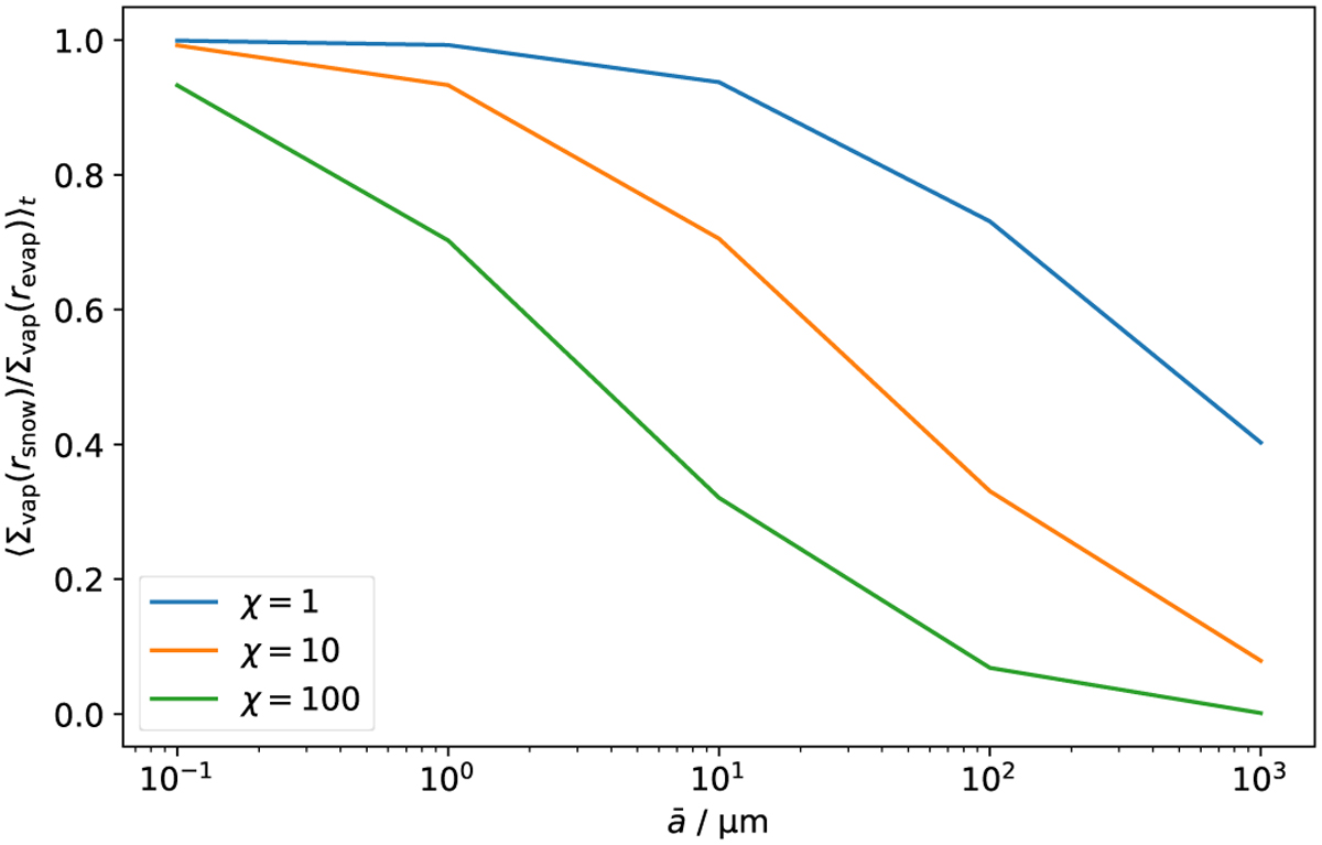
Time average of the mass fraction of water vapor reaching the snow line via backward radial diffusion from revap = rsnow + vgasτevap (cf. Eq. (41)). It is shown as a function of the mean grain size, a¯$\[\bar{a}\]$. The snow line location was chosen to match the ξ = 5 case shown in Fig. 11. The line color indicates the factor, χ, by which the velocity fluctuations felt by the dust grains were reduced.

Current usage metrics show cumulative count of Article Views (full-text article views including HTML views, PDF and ePub downloads, according to the available data) and Abstracts Views on Vision4Press platform.

Data correspond to usage on the plateform after 2015. The current usage metrics is available 48-96 hours after online publication and is updated daily on week days.

Initial download of the metrics may take a while.