Open Access

Fig. 15

image

Download original image

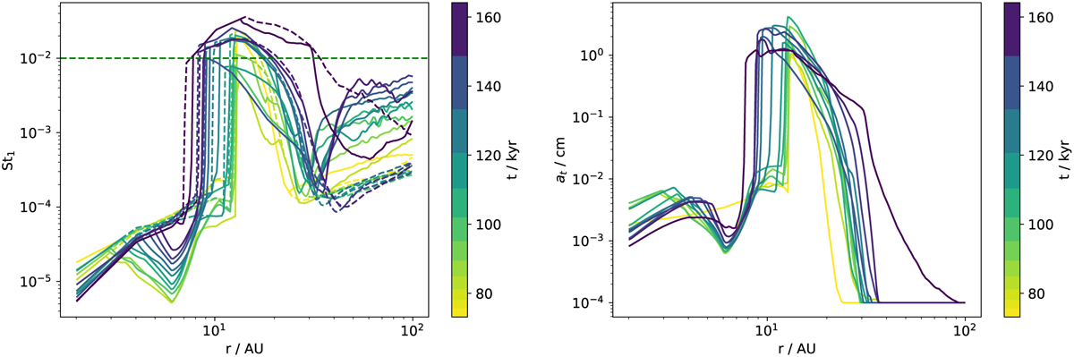
Left: pebble stokes number St1 as a function of radial distance. Right: corresponding particle size at. In this simulation, the temperature was scaled by ξ = 5, and the velocity fluctuations reduced by χ = 10. The line coloring corresponds to the simulation time according to the color bar. A darker color depicts the radial profile at a later time. The dashed lines indicate the value ffStfrag for each time. The horizontal dashed green line shows the limiting Stokes number St1 = 10−2 for planetesimal formation.

Current usage metrics show cumulative count of Article Views (full-text article views including HTML views, PDF and ePub downloads, according to the available data) and Abstracts Views on Vision4Press platform.

Data correspond to usage on the plateform after 2015. The current usage metrics is available 48-96 hours after online publication and is updated daily on week days.

Initial download of the metrics may take a while.