Open Access

Fig. 4

image

Download original image

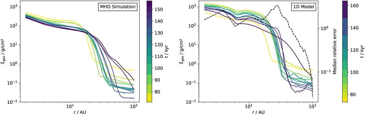
Gas surface density, Σgas, as a function of radial distance. The line color denotes the elapsed simulation time as indicated by the color bar, where a darker color indicates later times. Left: Calculated directly from the R2 core collapse simulation. Right: Obtained in our 1D model when starting from the first core collapse snapshot and employing the previously extracted model parameters. The dashed black line indicates the median relative error of Σgas obtained from the 1D model compared to the R2 simulation, with values indicated on the right ordinate.

Current usage metrics show cumulative count of Article Views (full-text article views including HTML views, PDF and ePub downloads, according to the available data) and Abstracts Views on Vision4Press platform.

Data correspond to usage on the plateform after 2015. The current usage metrics is available 48-96 hours after online publication and is updated daily on week days.

Initial download of the metrics may take a while.