Open Access

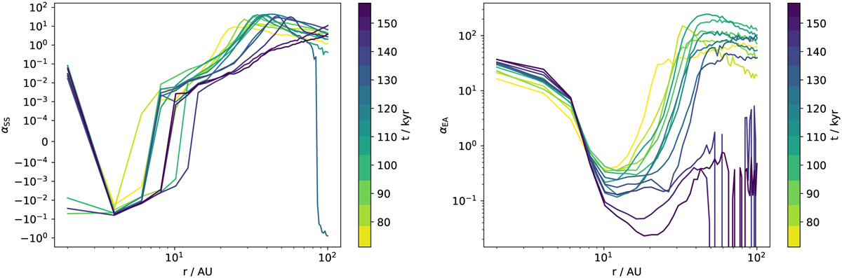
Fig. 7

image

Download original image

Torque parameters describing the dynamical evolution of the gas disk in R2, with line coloring like in Fig. 4. Left: radial profile of the internal torque parameter αSS (cf. Eq. (10)), which is scaled linearly if the absolute value is less than 10−4, but logarithmically otherwise. Right: radial profile of the external torque parameter αEA (cf. Eq. (9)) on a logarithmic scale.

Current usage metrics show cumulative count of Article Views (full-text article views including HTML views, PDF and ePub downloads, according to the available data) and Abstracts Views on Vision4Press platform.

Data correspond to usage on the plateform after 2015. The current usage metrics is available 48-96 hours after online publication and is updated daily on week days.

Initial download of the metrics may take a while.