Open Access

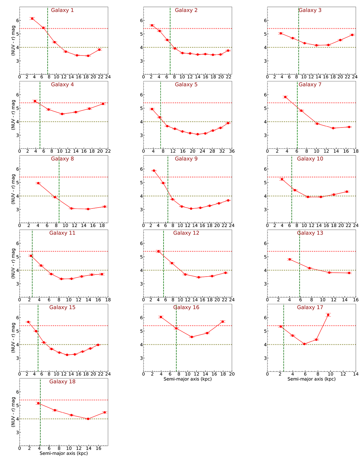
Fig. A.1.

image

Download original image

NUV-r colour radial profile for each sample galaxy is shown (the profile of galaxy no. 6 is already shown in Fig. 5e). The red and yellow dashed horizontal lines reference NUV-r = 5.4 and NUV-r = 4 mag, while the vertical green line represents the bar half-length. The results are discussed in Sect. 5.

Current usage metrics show cumulative count of Article Views (full-text article views including HTML views, PDF and ePub downloads, according to the available data) and Abstracts Views on Vision4Press platform.

Data correspond to usage on the plateform after 2015. The current usage metrics is available 48-96 hours after online publication and is updated daily on week days.

Initial download of the metrics may take a while.