Open Access

Fig. 6

image

Download original image

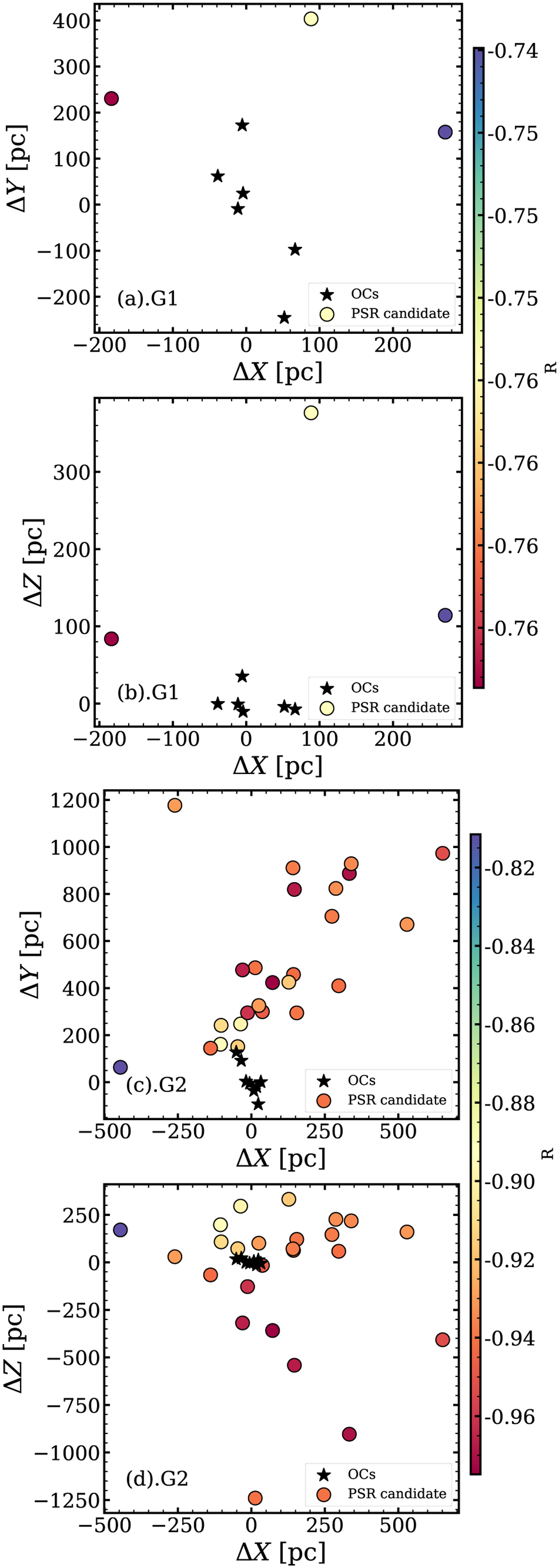
Relative 3D spatial distribution of PSR candidate. Panels a–b: results for G1, while panels c–d display results for G2. Black stars represent OCs, and dot symbols denote PSR candidate sources (color-coded with correlation coefficient as represented in the color bar).

Current usage metrics show cumulative count of Article Views (full-text article views including HTML views, PDF and ePub downloads, according to the available data) and Abstracts Views on Vision4Press platform.

Data correspond to usage on the plateform after 2015. The current usage metrics is available 48-96 hours after online publication and is updated daily on week days.

Initial download of the metrics may take a while.