Open Access

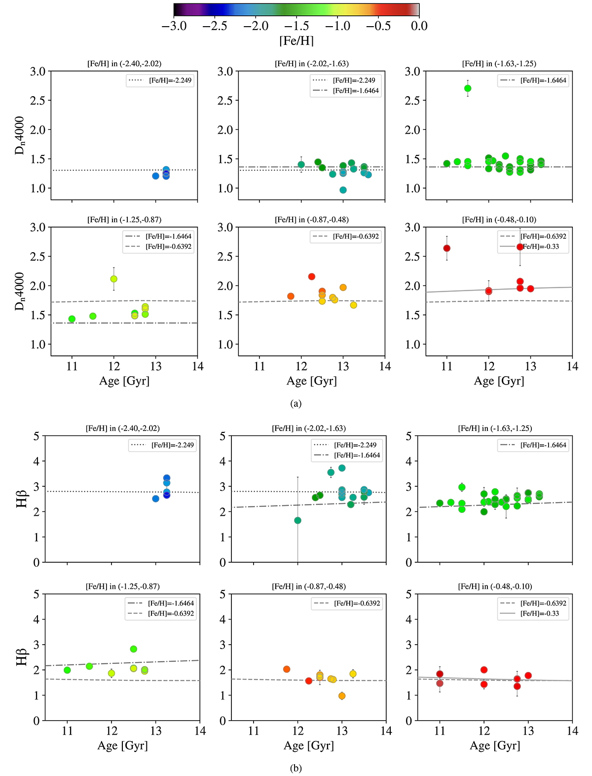
Fig. 1.

image

Download original image

Dn4000 (top) and Hβ (bottom) trends with age and metallicity. The indices are shown for a sample of 75 GCs for which a literature value of age is available, divided into six [Fe/H] bins and colour-coded according to it. In the background, the stellar models from BC16 relative to each [Fe/H] bin are shown with different line styles.

Current usage metrics show cumulative count of Article Views (full-text article views including HTML views, PDF and ePub downloads, according to the available data) and Abstracts Views on Vision4Press platform.

Data correspond to usage on the plateform after 2015. The current usage metrics is available 48-96 hours after online publication and is updated daily on week days.

Initial download of the metrics may take a while.