Open Access

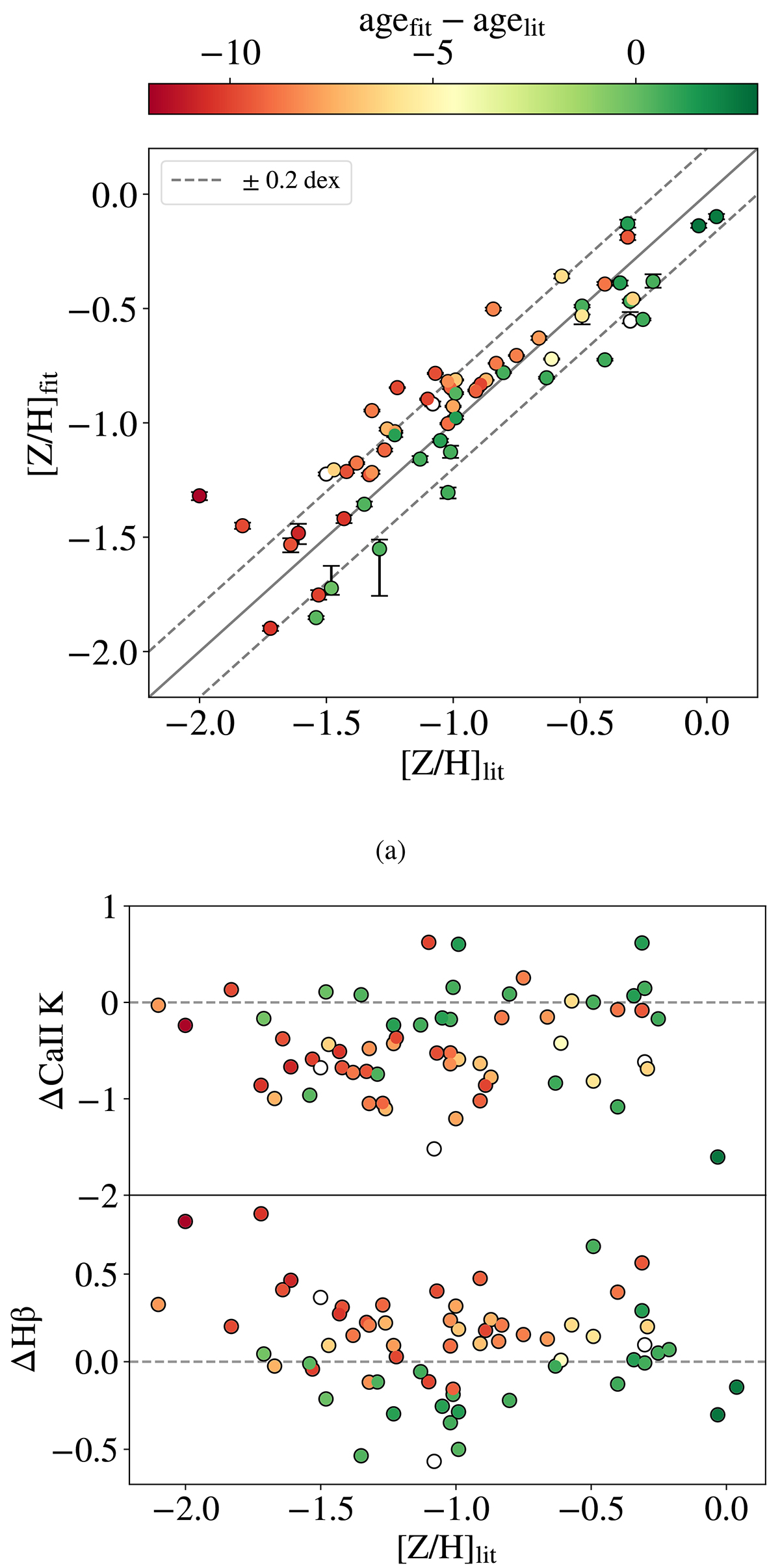
Fig. 6.

image

Download original image

Metallicity and differences in CaII K and Hβ measurements as a function of literature metallicity. Top: [Z/H] obtained in this work against literature [Z/H], colour-coded by the corresponding difference in age. The continuous line represents the one-to-one relation, and the dashed lines the 0.2 dex scatter. Bottom: differences in CaII K and Hβ as measured on the posterior spectra with the observed ones, colour-coded by the difference in age.

Current usage metrics show cumulative count of Article Views (full-text article views including HTML views, PDF and ePub downloads, according to the available data) and Abstracts Views on Vision4Press platform.

Data correspond to usage on the plateform after 2015. The current usage metrics is available 48-96 hours after online publication and is updated daily on week days.

Initial download of the metrics may take a while.