Open Access

Fig. 2.

image

Download original image

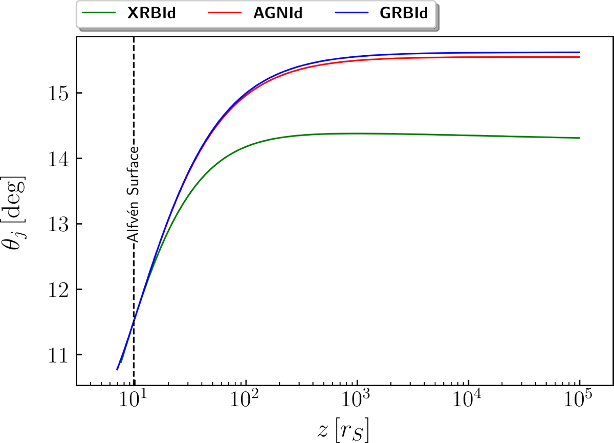
Jet opening angle, θj, for the three fiducial ideal MHD solutions. The weakly relativistic XRBId solution displays weak collimation asymptotically, as evidenced by the decrease of its opening angle with z, while the AGNId and GRBId solutions feature near-radial or freely expanding streamlines. At low z, the opening angles of all three solutions increase, as the jets are decollimated by the positive transfield component of the Lorentz force.

Current usage metrics show cumulative count of Article Views (full-text article views including HTML views, PDF and ePub downloads, according to the available data) and Abstracts Views on Vision4Press platform.

Data correspond to usage on the plateform after 2015. The current usage metrics is available 48-96 hours after online publication and is updated daily on week days.

Initial download of the metrics may take a while.