Open Access

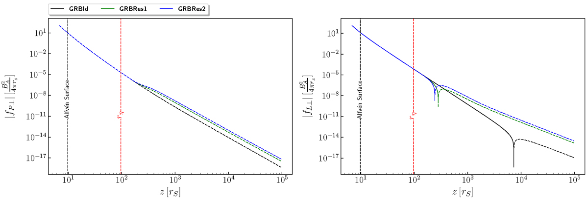
Fig. 8.

image

Download original image

Forces in the transfield direction along the boundary streamlines for solutions GRBId, GRBRes1, and GRBRes2. Left panel: Thermal pressure gradient. Right panel: Lorentz force. The thermal collimating force is intensified in both resistive solutions, while the force due to the electromagnetic field becomes negative and collimates the jet shortly after rη, denoted by the red vertical dashed line. The dashed parts of the curves correspond to negative values of the forces.

Current usage metrics show cumulative count of Article Views (full-text article views including HTML views, PDF and ePub downloads, according to the available data) and Abstracts Views on Vision4Press platform.

Data correspond to usage on the plateform after 2015. The current usage metrics is available 48-96 hours after online publication and is updated daily on week days.

Initial download of the metrics may take a while.