Open Access

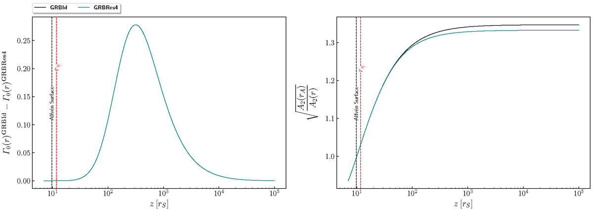
Fig. 9.

image

Download original image

Effect of the stronger collimation exhibited by the resistive solution GRBRes4 on its on-axis acceleration profile. Left panel: Difference between the on-axis Lorentz factor of the ideal MHD solution, GRBId, and solution GRBRes4, with rη = 12 rS. Right panel: radial part of the function which measures the distance between neighboring flux lines, δl, for the same two solutions.

Current usage metrics show cumulative count of Article Views (full-text article views including HTML views, PDF and ePub downloads, according to the available data) and Abstracts Views on Vision4Press platform.

Data correspond to usage on the plateform after 2015. The current usage metrics is available 48-96 hours after online publication and is updated daily on week days.

Initial download of the metrics may take a while.