Open Access

Fig. A.1

image

Download original image

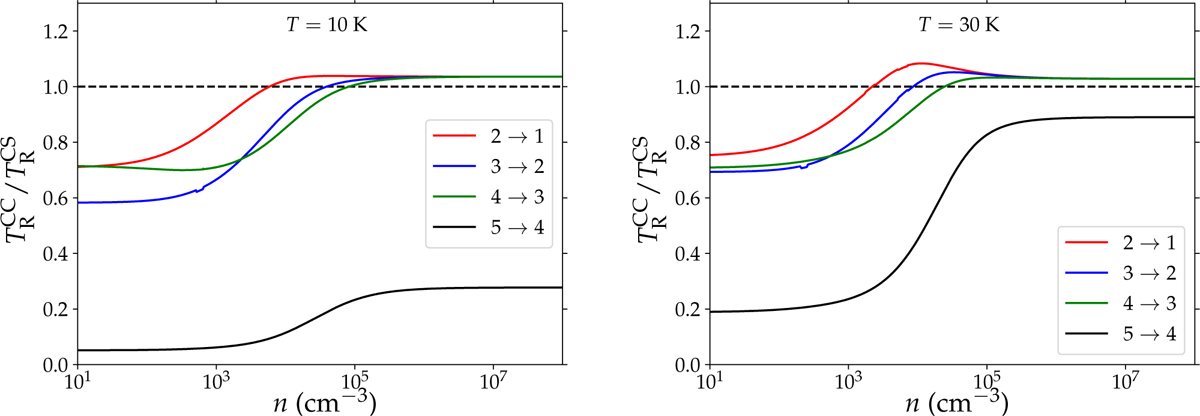
Dependence of radiation temperature ratios on gas density for the 1 → 0, 2 → 1, 3 → 2, and 4 → 3 emission lines. Superscripts CC and CS denote that the rate coefficients used in the radiative transfer calculations were obtained using the close-coupling (CC) method and the coupled states’ (CS) approximation, respectively. The dashed line indicates perfect agreement between the methods. All calculations are performed under the LVG formalism as implemented in the RADEX code, assuming a FWHM line width of 1.0 km s−1 and an HCNH+ column density of 2.3 × 1013 cm−2 (van der Tak et al. 2007).

Current usage metrics show cumulative count of Article Views (full-text article views including HTML views, PDF and ePub downloads, according to the available data) and Abstracts Views on Vision4Press platform.

Data correspond to usage on the plateform after 2015. The current usage metrics is available 48-96 hours after online publication and is updated daily on week days.

Initial download of the metrics may take a while.