Open Access

Fig. 9

image

Download original image

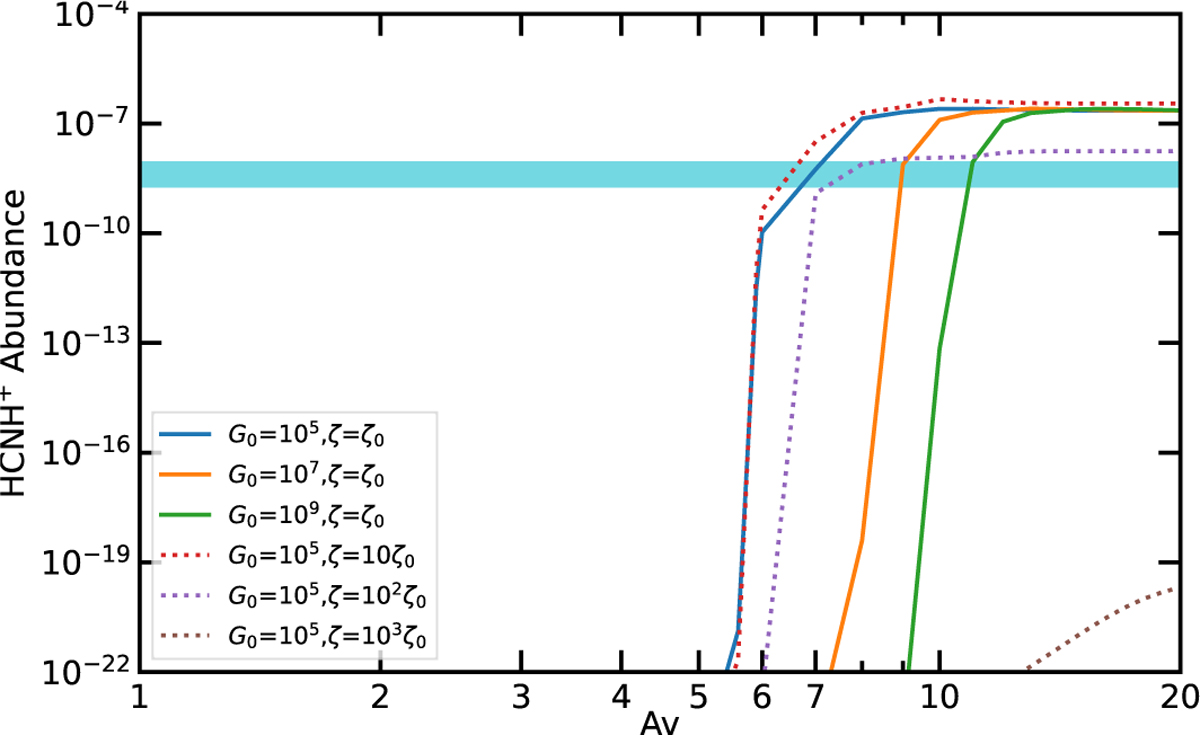
HCNH+ abundance as a function of visual extinctions at different interstellar radiation fields and cosmic ray ionization rates, calculated from the PDR models of Chempl (Du 2021). The corresponding values are shown in the legend. The cyan-shaded region indicates the observed HCNH+ abundances in this study.

Current usage metrics show cumulative count of Article Views (full-text article views including HTML views, PDF and ePub downloads, according to the available data) and Abstracts Views on Vision4Press platform.

Data correspond to usage on the plateform after 2015. The current usage metrics is available 48-96 hours after online publication and is updated daily on week days.

Initial download of the metrics may take a while.