Open Access

Fig. 2

image

Download original image

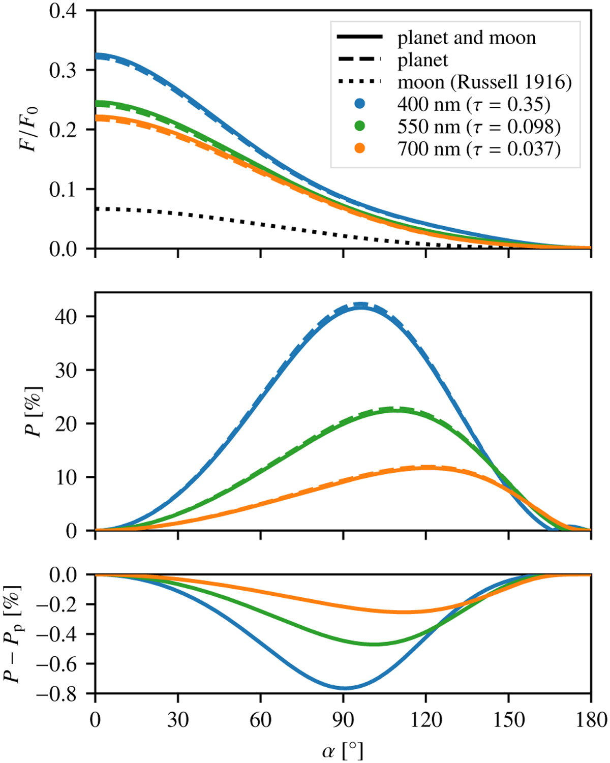
Phase curves of the planet, the moon, and the planet and moon together but without the influence of mutual events. Top: Flux F/F0 as a function of the phase angle α. For the planet and for planet and moon combined, F0 = F0p. In contrast, for the moon, F0 = F0m. In addition, we use the analytic result from Russell (1916) for a Lambertian sphere for the phase curve of the moon. Middle: Phase curves for the linear polarization P(α) for the planet and planet and moon combined, assuming Pm = 0 (i.e., of the diffuse reflecting moon surface). The stellar flux is not included in the calculation of P. Bottom: Difference PPp between the polarization phase curve of the unresolved system consisting of planet and moon and the planetary polarization phase curve.

Current usage metrics show cumulative count of Article Views (full-text article views including HTML views, PDF and ePub downloads, according to the available data) and Abstracts Views on Vision4Press platform.

Data correspond to usage on the plateform after 2015. The current usage metrics is available 48-96 hours after online publication and is updated daily on week days.

Initial download of the metrics may take a while.