Open Access

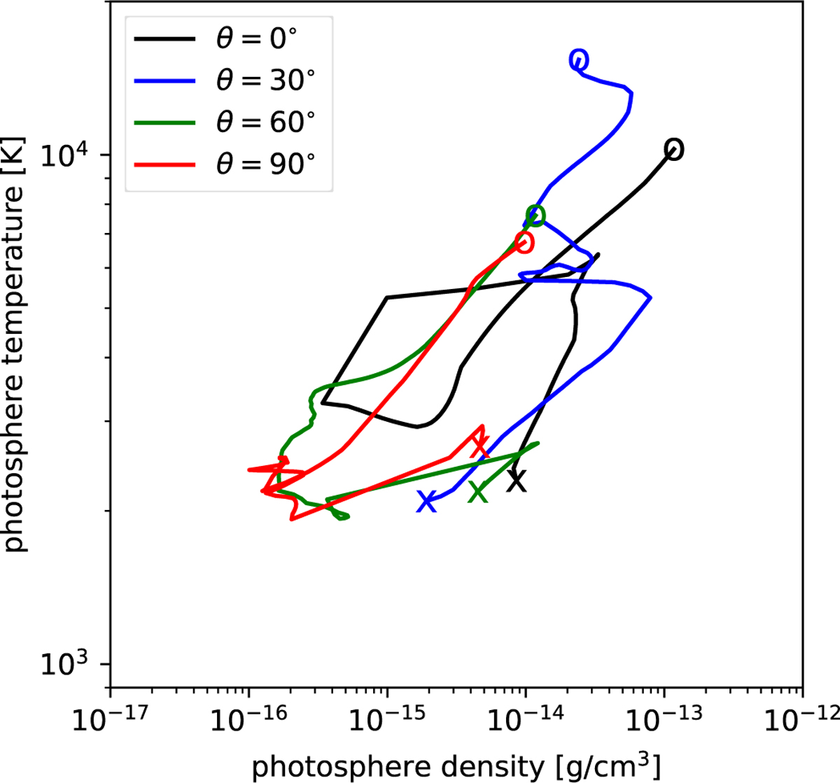
Fig. 1

image

Download original image

Time evolution of the density and temperature at the photosphere in KN ejecta of an exemplary NS merger simulation (model sym-n1-a6 of Just et al. 2023 with an ejecta mass of 0.073 M) at four different polar angles, θ, relative to the rotation axis of the NS binary. Each line starts at t = 0.1 d (indicated by circles) and ends when the radial optical depth drops below unity (indicated by crosses).

Current usage metrics show cumulative count of Article Views (full-text article views including HTML views, PDF and ePub downloads, according to the available data) and Abstracts Views on Vision4Press platform.

Data correspond to usage on the plateform after 2015. The current usage metrics is available 48-96 hours after online publication and is updated daily on week days.

Initial download of the metrics may take a while.