Open Access

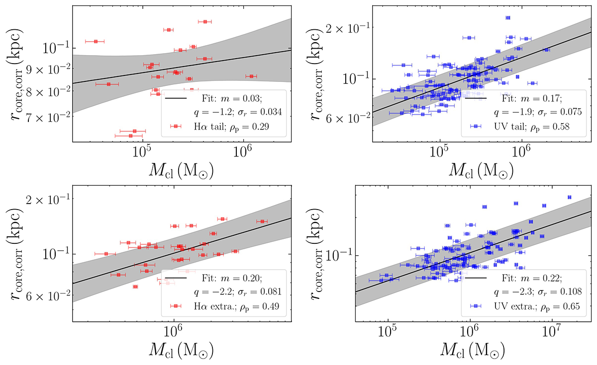
Fig. C.1.

image

Download original image

Core radius-stellar mass relation for tail (top row) and extraplanar (bottom row) resolved clumps (Hα in the left panels and UV in the right panels, respectively). Each clump is plotted as a red (for Hα) or blue (for UV) square with stellar mass uncertainties. The best-fitting linear relation (black solid line) is obtained as described in Sect. C, and the grey area is the 1σ interval of the fit. In the legend, the best-fitting parameters are reported, together with the Pearson coefficient and the P-value.

Current usage metrics show cumulative count of Article Views (full-text article views including HTML views, PDF and ePub downloads, according to the available data) and Abstracts Views on Vision4Press platform.

Data correspond to usage on the plateform after 2015. The current usage metrics is available 48-96 hours after online publication and is updated daily on week days.

Initial download of the metrics may take a while.