Open Access

Fig. 18

image

Download original image

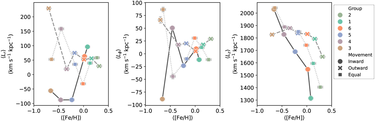
Median angular momenta in the r, ϕ, and z directions – 〈Lr〉, 〈Lϕ〉, 〈Lz〉 – plotted against the median metallicity, 〈[Fe/H]〉. Each panel presents the angular momentum in a specific direction. Marker colours represent distinct HC groups, consistent with the other figures in this paper, while marker shapes indicate different stellar movements: inward churning, outward churning, and blurring (labelled as ‘equal’). The lines serve as visual guides rather than regressions, highlighting potential trends: the solid line connects HC groups with inward churning, the dashed line corresponds to outward churning, and the dotted line represents stars with unchanged radii (undisturbed or blurred).

Current usage metrics show cumulative count of Article Views (full-text article views including HTML views, PDF and ePub downloads, according to the available data) and Abstracts Views on Vision4Press platform.

Data correspond to usage on the plateform after 2015. The current usage metrics is available 48-96 hours after online publication and is updated daily on week days.

Initial download of the metrics may take a while.