Open Access

Fig. B.1

image

Download original image

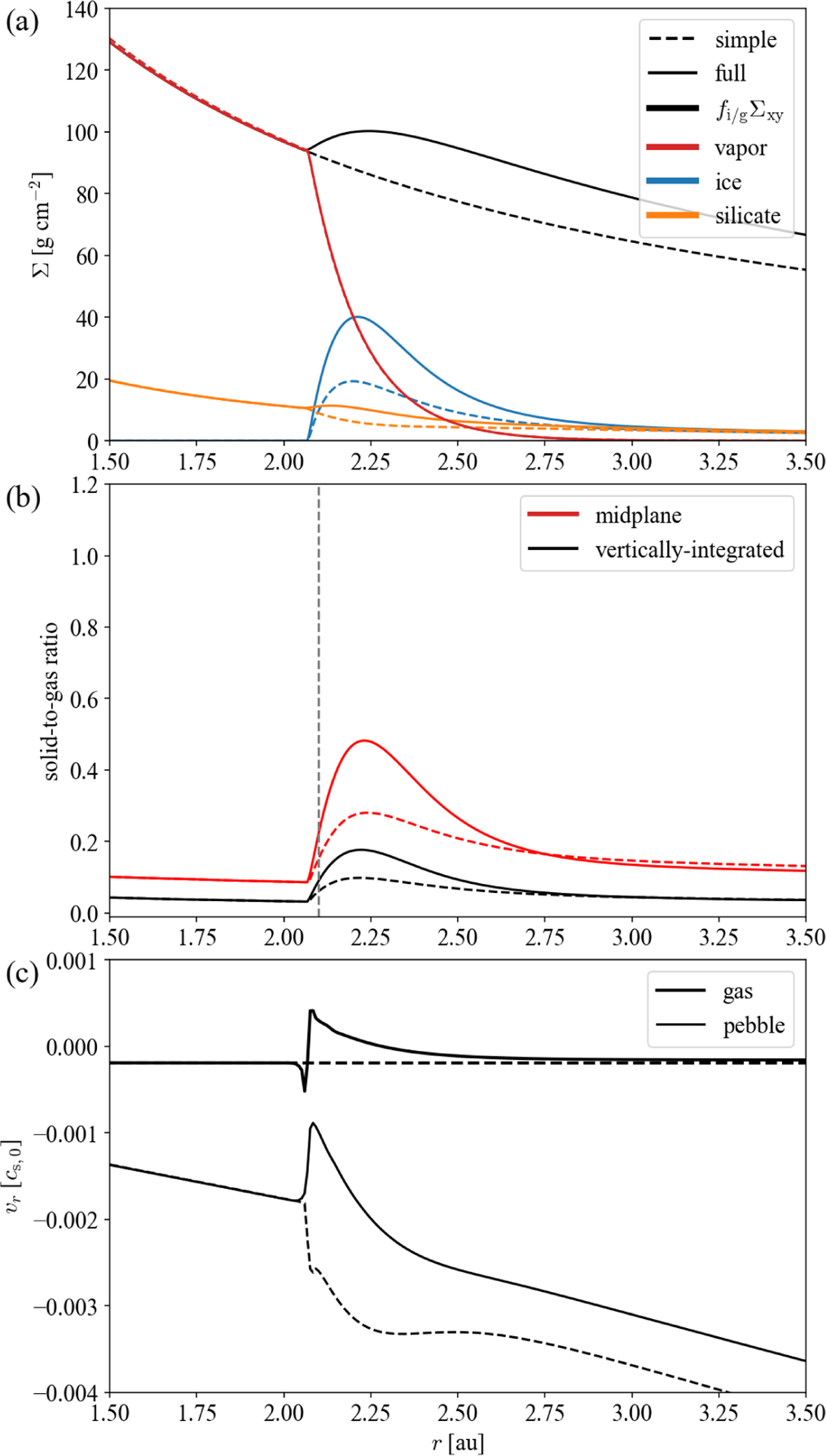
Comparisons of 1D/SO17 and ID-hydro. (a): the surface density profiles. The H-He surface density is timed by the ice-to-gas ratio ƒi/g for a clear comparison. (b): the solid-to-gas ratio at the disk midplane and the vertically-integrated surface density ratio. The grey dashed line denotes snowline location (2.1 au). (c): the gas and pebble radial velocity at the disk midplane. It is worth noticing that the gas velocity in 1D/SO17 haven’t returned to the unperturbed viscous solution even at the outer boundary, giving rise to the difference of Σxy all over the place outside the snowline.

Current usage metrics show cumulative count of Article Views (full-text article views including HTML views, PDF and ePub downloads, according to the available data) and Abstracts Views on Vision4Press platform.

Data correspond to usage on the plateform after 2015. The current usage metrics is available 48-96 hours after online publication and is updated daily on week days.

Initial download of the metrics may take a while.