Open Access

Fig. C.2

image

Download original image

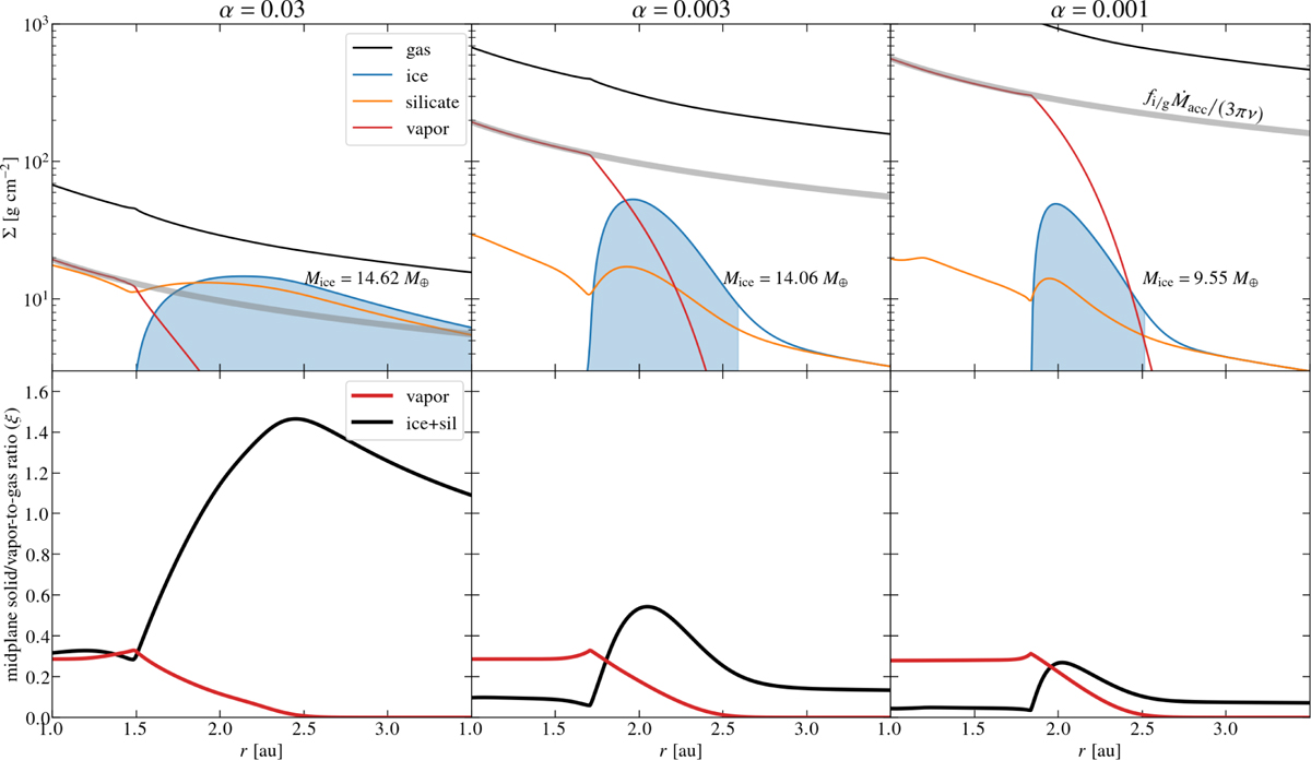
Steady state radial profiles of active disk runs of different α. The notation is the same as Fig. 4. Given the fixed acc , the gas and surface density is much larger when α = 0.001 since they are accreted slower.

Current usage metrics show cumulative count of Article Views (full-text article views including HTML views, PDF and ePub downloads, according to the available data) and Abstracts Views on Vision4Press platform.

Data correspond to usage on the plateform after 2015. The current usage metrics is available 48-96 hours after online publication and is updated daily on week days.

Initial download of the metrics may take a while.