Open Access

Fig. 5

image

Download original image

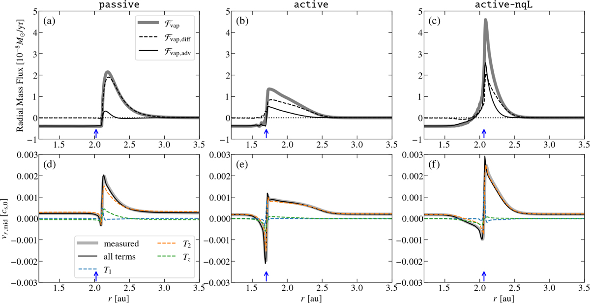
Upper panels: vertically-integrated radial mass flux of vapor. For three runs (passive,activeand active-nqL), the diffusive, advective and total vapor flux are plotted. The dotted lines denote zero-flux levels. The blue arrows indicate the position of the midplane snowline (rsnow,mid). The advective flux contributes significantly to the total vapor flux in theactivedisk runs (active and active-nqL), while it is negligible in the passive run. Lower panels: midplane gas radial velocity and the contributions from different terms following Equation (36). The thick grey line represents the measured value from the simulation. The T2 term signifies the dominant contribution of the radial viscous stress to the radial velocity, while the contributions from radial advection (T1 ) and ɀ-direction (Tɀ) are negligible.

Current usage metrics show cumulative count of Article Views (full-text article views including HTML views, PDF and ePub downloads, according to the available data) and Abstracts Views on Vision4Press platform.

Data correspond to usage on the plateform after 2015. The current usage metrics is available 48-96 hours after online publication and is updated daily on week days.

Initial download of the metrics may take a while.