Open Access

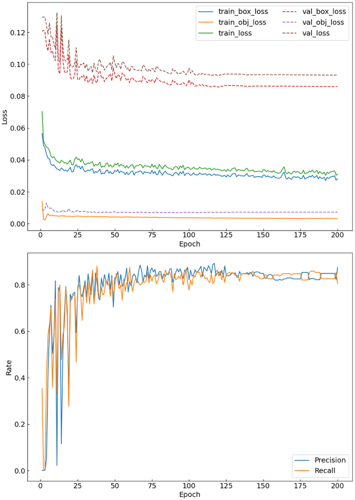
Fig. 5

image

Download original image

Loss and evaluation metrics changes during YOLO-DG training. Top Panel: loss curve of YOLO-DG on the training set and validation set. As the number of the epoch increases, the loss gradually decreases and tends to be stable. Since we only detect dwarf galaxies, there is no classification loss. Bottom Panel: precision and recall rate change curve of YOLO-DG during training.

Current usage metrics show cumulative count of Article Views (full-text article views including HTML views, PDF and ePub downloads, according to the available data) and Abstracts Views on Vision4Press platform.

Data correspond to usage on the plateform after 2015. The current usage metrics is available 48-96 hours after online publication and is updated daily on week days.

Initial download of the metrics may take a while.