Open Access

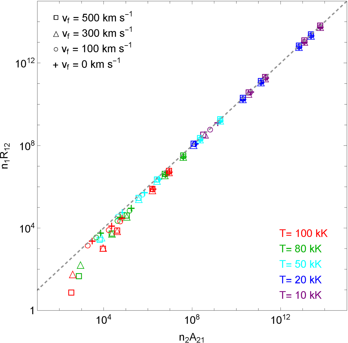
Fig. 10.

image

Download original image

Lα absorption versus Lα emission at height of 4 R and effective thickness of 10 000 km. The temperatures are represented by colors and the flow velocities by symbols. For comparison, the dashed line shows the position at which the ratio between the two is equal to one.

Current usage metrics show cumulative count of Article Views (full-text article views including HTML views, PDF and ePub downloads, according to the available data) and Abstracts Views on Vision4Press platform.

Data correspond to usage on the plateform after 2015. The current usage metrics is available 48-96 hours after online publication and is updated daily on week days.

Initial download of the metrics may take a while.