Open Access

Fig. 8.

image

Download original image

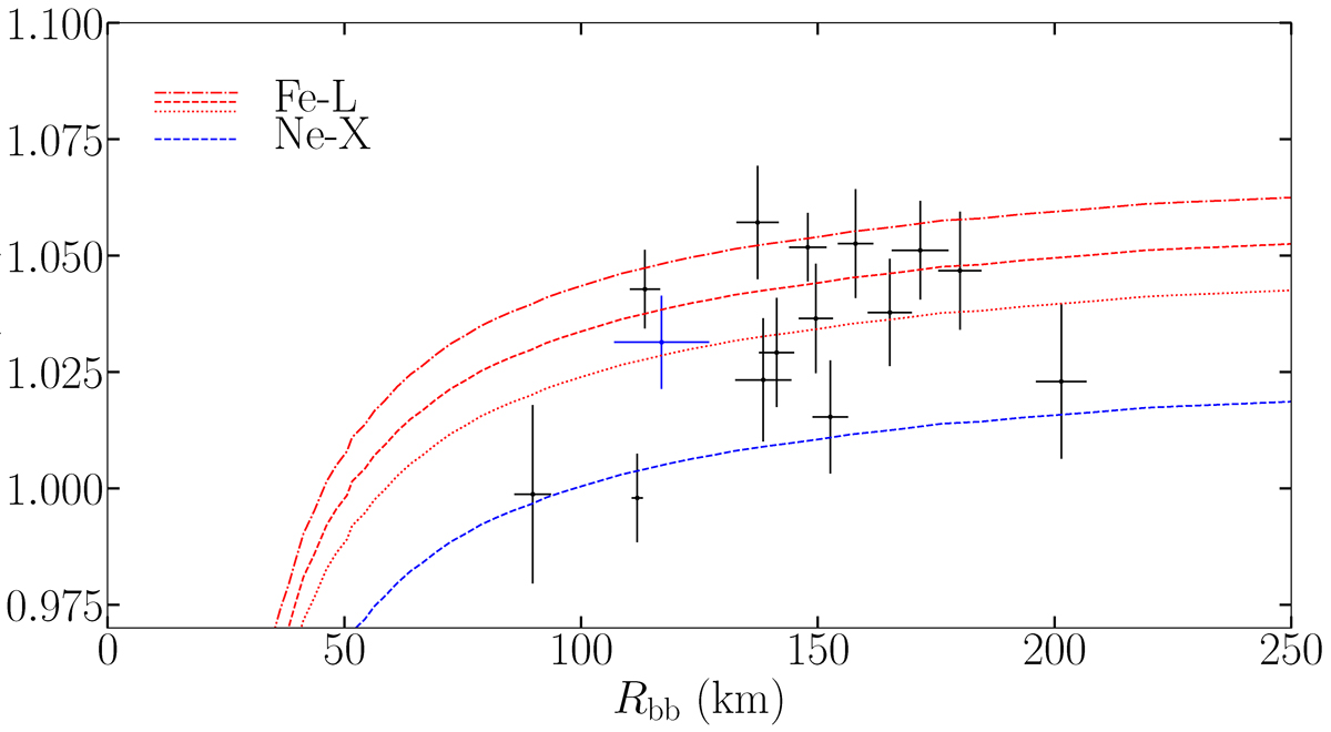
1 keV emission lines of 13 bursts with the blackbody radius. The Lyα transition of Ne X in the rest frame at 1.022 keV is plotted with blue dot line. The Fe L shell transitions at 1.045, 1.055 and 1.066 keV are plotted with red dot line, see e.g., Guichandut et al. (2021).

Current usage metrics show cumulative count of Article Views (full-text article views including HTML views, PDF and ePub downloads, according to the available data) and Abstracts Views on Vision4Press platform.

Data correspond to usage on the plateform after 2015. The current usage metrics is available 48-96 hours after online publication and is updated daily on week days.

Initial download of the metrics may take a while.