Open Access

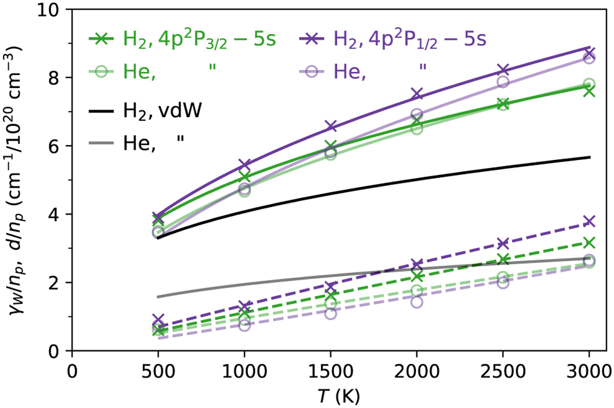
Fig. 2

image

Download original image

Variation with temperature of the broadening (γW/np, solid) and shift (d/np, dashed) rates of the 4p2P3/2 − 5s (green) and 4p2P1/2 − 5s (purple) lines, perturbed by H2 and He. The van der Waals (vdW) broadening, computed with Eq. (16), is shown in black for comparison.

Current usage metrics show cumulative count of Article Views (full-text article views including HTML views, PDF and ePub downloads, according to the available data) and Abstracts Views on Vision4Press platform.

Data correspond to usage on the plateform after 2015. The current usage metrics is available 48-96 hours after online publication and is updated daily on week days.

Initial download of the metrics may take a while.