Open Access

Fig. 3

image

Download original image

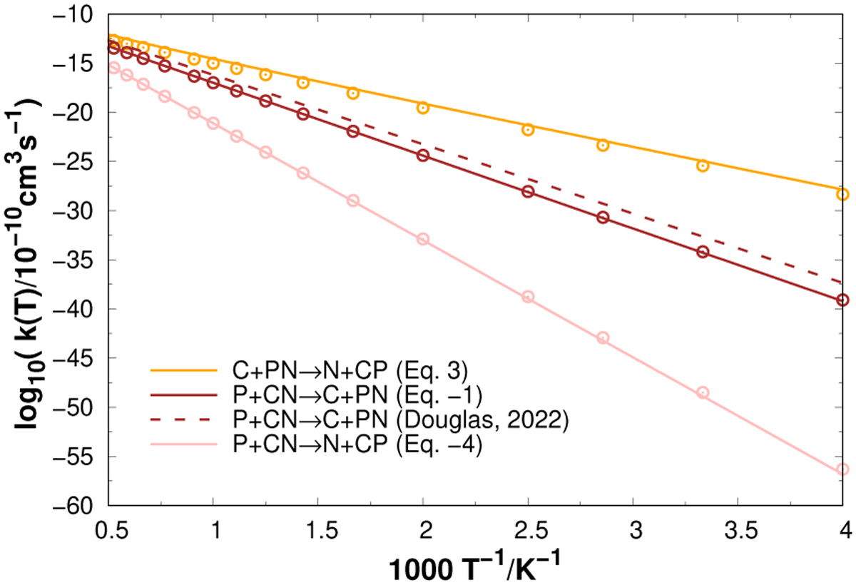
Rate coefficients as a function of inverse temperature obtained for the endoergic reactions. The points refer to the calculated values at fixed temperatures and the curves correspond to a fit to our results using the modified Arrhenius formula. The rate coefficient proposed by Douglas et al. (2022) for the P + CN ⟶ C + PN reaction is shown as a dashed line for comparison.

Current usage metrics show cumulative count of Article Views (full-text article views including HTML views, PDF and ePub downloads, according to the available data) and Abstracts Views on Vision4Press platform.

Data correspond to usage on the plateform after 2015. The current usage metrics is available 48-96 hours after online publication and is updated daily on week days.

Initial download of the metrics may take a while.