Open Access

Fig. 3.

image

Download original image

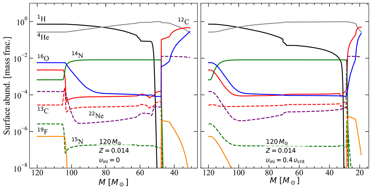
Evolution of the surface abundances of a few isotopes as a function of the actual mass of a 120 M model at solar metallicity throughout its evolution (meaning as time increases, due to mass loss, the stellar mass decreases). The left panel shows the results of the non-rotating model, while the right panel shows the results of the moderately rotating model.

Current usage metrics show cumulative count of Article Views (full-text article views including HTML views, PDF and ePub downloads, according to the available data) and Abstracts Views on Vision4Press platform.

Data correspond to usage on the plateform after 2015. The current usage metrics is available 48-96 hours after online publication and is updated daily on week days.

Initial download of the metrics may take a while.